电脑桌面
添加小米粒文库到电脑桌面
安装后可以在桌面快捷访问

考研数学强化班高等数学讲义汤家凤VIP免费

考研数学强化班高等数学讲义汤家凤_第1页
1/45
考研数学强化班高等数学讲义汤家凤_第2页
2/45
考研数学强化班高等数学讲义汤家凤_第3页
3/45
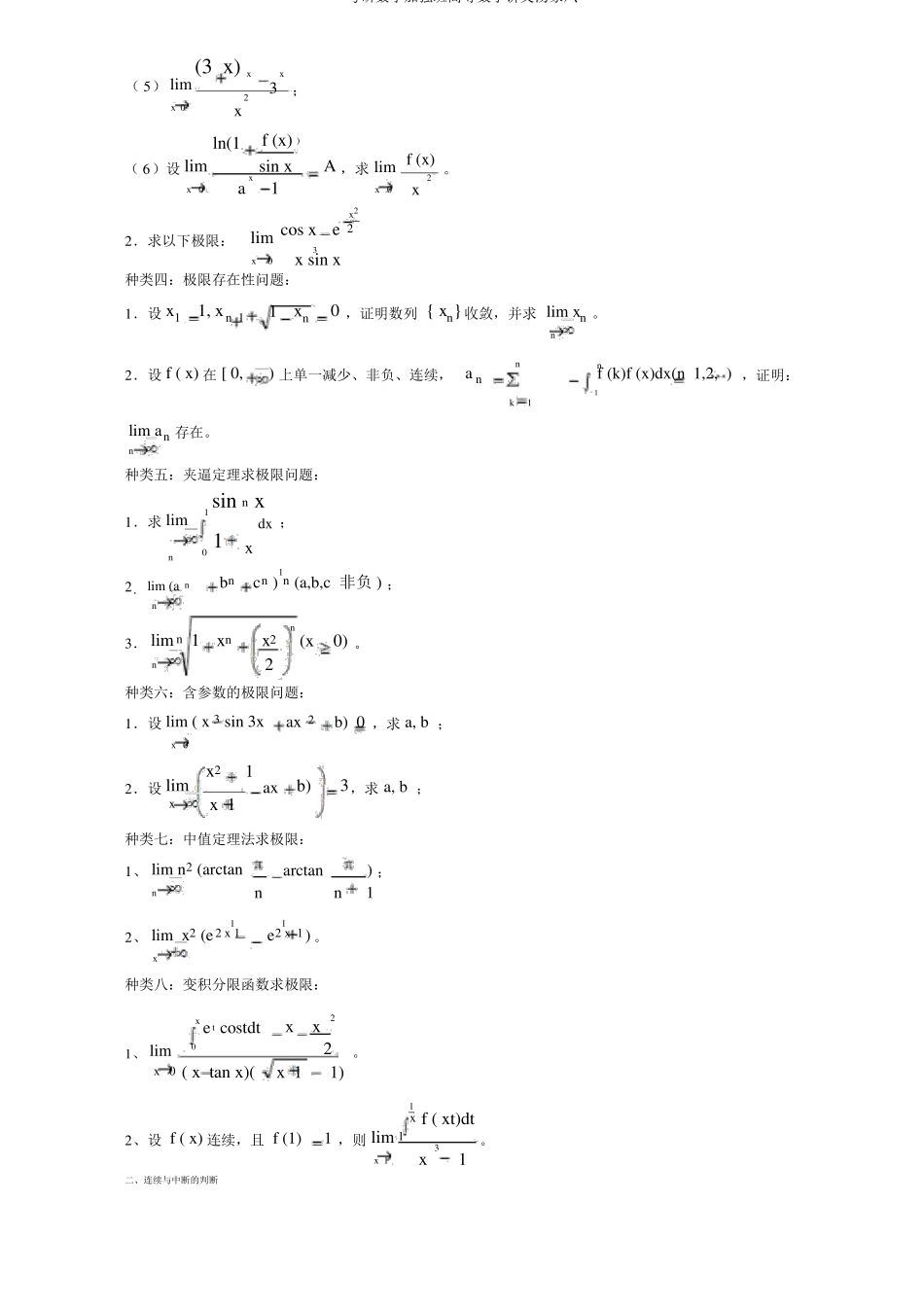
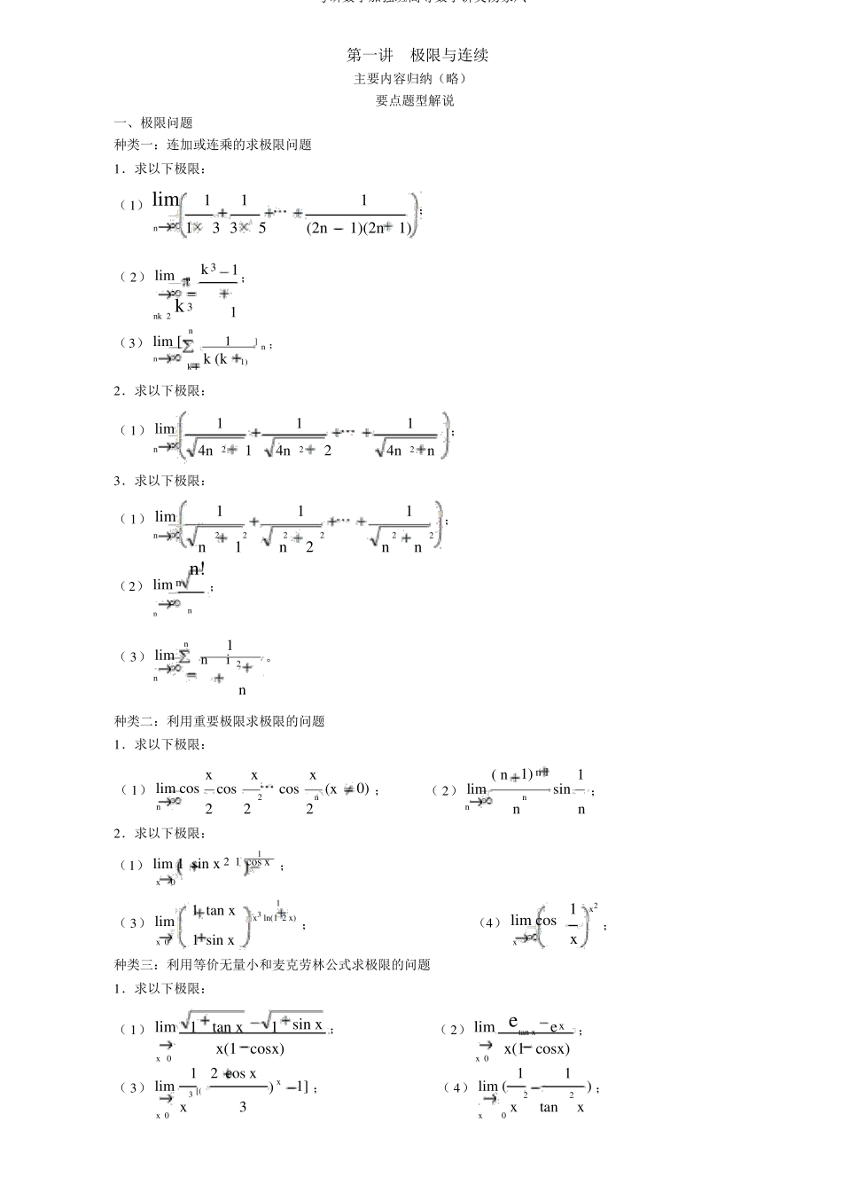
考研数学加强班高等数学讲义汤家凤第一讲极限与连续主要内容归纳(略)要点题型解说一、极限问题种类一:连加或连乘的求极限问题1.求以下极限:(1)lim111(2n1)(2n1);n1n33k31;5(2)limnk2k3nk111(3)lim[n]n;k(k1)2.求以下极限:(1)limn11124n22;4n2124n2n3.求以下极限:2(1)limn121212;nn1n2nn(2)limnn!;nni1(3)limnn1i21。n种类二:利用重要极限求极限的问题1.求以下极限:(1)limcoscosnxx2221cosn(x2x0);(2)limn(n1)n1nsin1n;n2.求以下极限:(1)lim1sinx21cosx;x0(3)limx01tanx1sinx1xln(12x)3;(4)limcosx1x2;x种类三:利用等价无量小和麦克劳林公式求极限的问题1.求以下极限:(1)limx01tanx1sinx;x(1cosx)3[((2)limx0ex;x(1cosx)12etanx(3)limx012cosx3)x1];(4)lim(x12);x0xtanx考研数学加强班高等数学讲义汤家凤(5)limx0(3x)x2x3;xln(1f(x))f(x)。(6)设limA,求limsinxx2x0x0a1xx22cosxe2.求以下极限:lim3x0xsinx种类四:极限存在性问题:1.设x11,xn11xn0,证明数列{xn}收敛,并求limxn。n2.设f(x)在[0,)上单一减少、非负、连续,ank1liman存在。n种类五:夹逼定理求极限问题:11.求limsinnxdx;n01x12.lim(anbncn)n(a,b,c非负);nn3.limn1xnx2(x0)。n2种类六:含参数的极限问题:1.设lim(x3sin3xax2b)0,求a,b;x02.设limx21xaxb)3,求a,b;x1种类七:中值定理法求极限:1、limn2(arctanarctan);nnn1112、limx2(e2x1e2x1)。x种类八:变积分限函数求极限:xet2costdtx1、lim0x2。x0(xtanx)(x11)1xf(xt)dt2、设f(x)连续,且f(1)1,则lim13。x1二、连续与中断的判断x1nnf(k)f(x)dx(n1,2,)1,证明:考研数学加强班高等数学讲义汤家凤ln(1x),x0x1.设f(x)0,x0,议论函数f(x)在x0处的连续性。1x1x0x,1x112.议论f(x)(2x1)(2x1),x0在x0处的连续性。1,x0三、连续性命题的证明1.设f(x)C[a,)且limf(x)存在,证明f(x)在[a,)上有界。x2.设f(x)在[a,b]上连续,任取p0,q0,证明:存在(a,b),使得pf(a)qf(b)(pq))f()。第二讲微分学第一部分一元函数微分学内容复习(略)要点题型解说(一)与导数定义有关的问题1.设f(xf(x0h)f(x0h)(0)存在,求lim0)。h0h2f(x).设在xlimf(x)2,求f(1)。1处连续,且x1x213.设f(x)在(,)上有定义,对随意的x,y有f(xy)f(x)f(y),且f(0)1,求f(x)。4.设f(x)二阶连续可导,且limf(x)1,f(0)e,则limef(x)2ex______。x0x0xx5.设f(x)在(,)上有定义,且对随意的x有f(x1)2f(x),又当x[0,1]时,有f(x)x(1x2),议论f(x)在x0处的可导性。(二)各种求导数的问题1x1.设yexex,求y;sin11x1xarctan2.设ye1x,求y;3.yx(x1)(x2)(x100),求y(0),y(101);考研数学加强班高等数学讲义汤家凤4.设yf(x)由xxtln(1t)2d确立,求y;yt3t25.设xyy,求tan(xy)dydx2;dx6.设exyy,求dy;dxx07.设yy(x)由xtet确立,求dy;ty2tant23siny5dx8.设f(x)sinx2aex,x0在x0处可导,求a,b;9arctanx2b(x1)3,x2dy2xcostdt,求;09.求以下函数的导数:(1)设y0x2(2)设ytf(tx2)dt,求dy;dxx010.设f(x)连续,(x)dx10f(xt)dt,且limf(x)xA,求(x),并议论(x)在x0处x0的连续性。11.设f(x)g(x)cosx,x0,此中g(x)二阶可导且g(0)1。xa,x0(1)当a为什么值时,性。解答:f(x)在x0处连续;(2)求f(x);(3)研究f(x)在x0处的连续(1)limf(x)limg(x)x0cosxlim[xg(x)g(0)g(0)cosx]xx0x0xlim[g(x)g(0)x0x1cosx]g(0),x于是当ag(0)时,f(x)在x0处连续。(2)当x0时,limf(x)g(x)limx0cosxxxg(0)f(0)xx02limx0g(x)cosxg(0)x即f(0)12xlimg(x)x0[1g(0)];g(0)2xsinx12[1g(0)],x[g(x)sinx]g(x)cosx当x0时,f(x)x2,于是考研数学加强班高等数学讲义汤家凤1f(x)[1g(0),x02。x[g(x)sinx]g(x)cosx,x0x2(3)由于limf(x)x0lim[x0g(x)sinx]g(x)cosxlimx[g(x)2x0xsinxx[1g(0)]g(x)2cosx]2x1f(0),因此f(x)在x0处连续。12.设f(x)在[1,1]上可导,f(x)在x0处二阶可导,且f(0)0,f(0)4,求limf(x)f[ln(1x)]xx03。13.设f(x)limnx2en(x1)1en(x1)axb,求f(x),并议论f(x)的连续性和可导性。(三)高阶导数问题1.设yexsinx,求y(n);2....

1、当您付费下载文档后,您只拥有了使用权限,并不意味着购买了版权,文档只能用于自身使用,不得用于其他商业用途(如 [转卖]进行直接盈利或[编辑后售卖]进行间接盈利)。
2、本站所有内容均由合作方或网友上传,本站不对文档的完整性、权威性及其观点立场正确性做任何保证或承诺!文档内容仅供研究参考,付费前请自行鉴别。
3、如文档内容存在违规,或者侵犯商业秘密、侵犯著作权等,请点击“违规举报”。

碎片内容

考研数学强化班高等数学讲义汤家凤

您可能关注的文档

确认删除?
VIP
微信客服
  • 扫码咨询
会员Q群
  • 会员专属群点击这里加入QQ群
客服邮箱
回到顶部