电脑桌面
添加小米粒文库到电脑桌面
安装后可以在桌面快捷访问

运球、双手胸前传接球教案--屠辉 (2)VIP专享VIP免费

运球、双手胸前传接球教案--屠辉 (2)_第1页
1/3
运球、双手胸前传接球教案--屠辉 (2)_第2页
2/3
运球、双手胸前传接球教案--屠辉 (2)_第3页
3/3
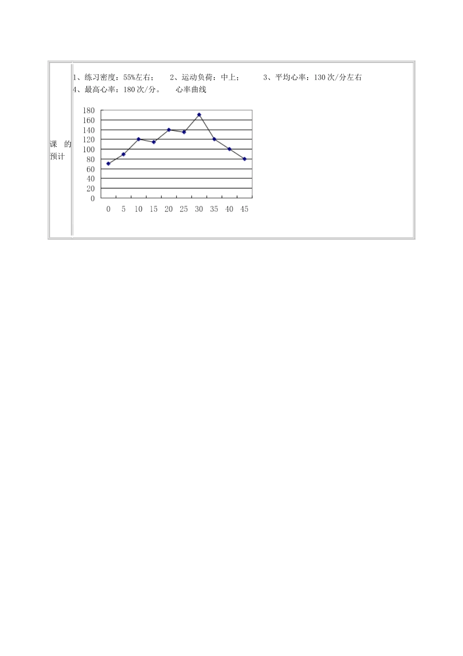
体育公开课屠辉授课班级:高二(7)班教材内容篮球:运球、双手胸前传接球与“橄榄球”游戏课的目标1、认知目标:进一步建立运球,双手胸前传接球动作概念。2、技能目标:巩固提高运球、传接球技术动作和对球的控制和支配能力,发展灵敏、速度、耐力等身体素质。3、情感目标:培养学生勇敢、机智、果断、胜不骄、败不馁的优良品质和团结一致、密切配合的集体主义精神。课的部分教学内容及手段组织教法开始部分2’1、体育委员整队,清点人数。并向教师报告。2、师生问好,宣布本课的教学内容和目标,以及注意事项。组织:成四列横队集合,如图示一:要求:精神饱满,注意力集中。准备部分5’一、兔子跳比赛:把全班分成八组,四排男生,四排女生,手搭肩共同进行兔子跳接力比赛,从篮球场的边线开始,哪一组最先抵达另一边线为胜利。一、组织:成八列纵队教法:讲解,示范,师生按规则集体练习。要求:如途中哪里断开,就从哪里继续开始;另外不能站起来。输掉的队伍男生五个俯卧撑,女生两个俯卧撑。(男生与男生比,女生与女生比)基本部分33’一、运球:A、右手前侧、右侧运球,B左手前侧、左侧运球,C、体前左右手交换运球,D、行进间急停急起运球。重点:运球的手型,按拍球的部位、力量。要求:原地和行进间交替进行。护球尽量眼睛注意前方。二、抢运球方法:在整个篮球场上进行。一、三排同学持球,二、四排同学无球。游戏开始,持球同学在场内运球,在运球中要躲避相对应的无球同学的抢断,无球同学则用合理的动作进行抢断球,一旦抢到球后互换。规则:A、无球者不得用推、拉等犯规动作抢球,B、发生被迫运球出界或违例情况,按被抢断论处;要交换球权。一、组织:在篮球场内成四列横队(如图1)(图1)教法:教师讲解、示范,指导学生自由模仿、创造练习。教师巡视、指导、纠错。二、组织:分散在球场内(如图2)教法:教师讲解、示范、学生练习。要求:进行一对一的“抢运球”练习,按规则进行。基本部分33’重点:对球的控制与掌握难点:技术要准确熟练三、原地二人一球传接球重点:上下肢协调配合四、原地二人一球运球、传球重点:技术的衔接连贯五、4人一球,行进间运球后传球重点:弧线运球、跑动、双手胸前传接球。六、4人一球,一人防守,三人传接球要求:双手传接球,进攻队员可运球移动,防守队员抢断球积极。七、“橄榄球”游戏游戏规则:以一个篮球场为界限,以拿球达到对方的底线为得分,传球只能往后传,如出界或违例则交换球权,不能推人,进入前场后如犯规则罚球,可以拉、抱人,传球限时五秒,否则违例交换球权。(分男女两组分别进行)(图2)三、四练习的组织如图示三:教法:讲解、示范、纠错,教师巡视指导。五、六练习的组织如图示四:七、要求:在一个篮球场内完成。结束部分5’一、深呼吸蹲下二、深呼吸上马三、互相放松四、集合整队五、课的总结,布置课后作业六、体委整理、清点器材,师生再见,本课结束1、教师喊口令并进行示范2、学生动作尽量柔和同学之间相互放松要配合场地器材篮球40只;篮球场一个。课的预计1、练习密度:55%左右;2、运动负荷:中上;3、平均心率:130次/分左右4、最高心率:180次/分。心率曲线

1、当您付费下载文档后,您只拥有了使用权限,并不意味着购买了版权,文档只能用于自身使用,不得用于其他商业用途(如 [转卖]进行直接盈利或[编辑后售卖]进行间接盈利)。
2、本站所有内容均由合作方或网友上传,本站不对文档的完整性、权威性及其观点立场正确性做任何保证或承诺!文档内容仅供研究参考,付费前请自行鉴别。
3、如文档内容存在违规,或者侵犯商业秘密、侵犯著作权等,请点击“违规举报”。

碎片内容

运球、双手胸前传接球教案--屠辉 (2)

您可能关注的文档

确认删除?
VIP
微信客服
  • 扫码咨询
会员Q群
  • 会员专属群点击这里加入QQ群
客服邮箱
回到顶部