电脑桌面
添加小米粒文库到电脑桌面
安装后可以在桌面快捷访问

大学物理习题精选-答案——第2章-质点动力学VIP免费

大学物理习题精选-答案——第2章-质点动力学_第1页
1/20
大学物理习题精选-答案——第2章-质点动力学_第2页
2/20
大学物理习题精选-答案——第2章-质点动力学_第3页
3/20
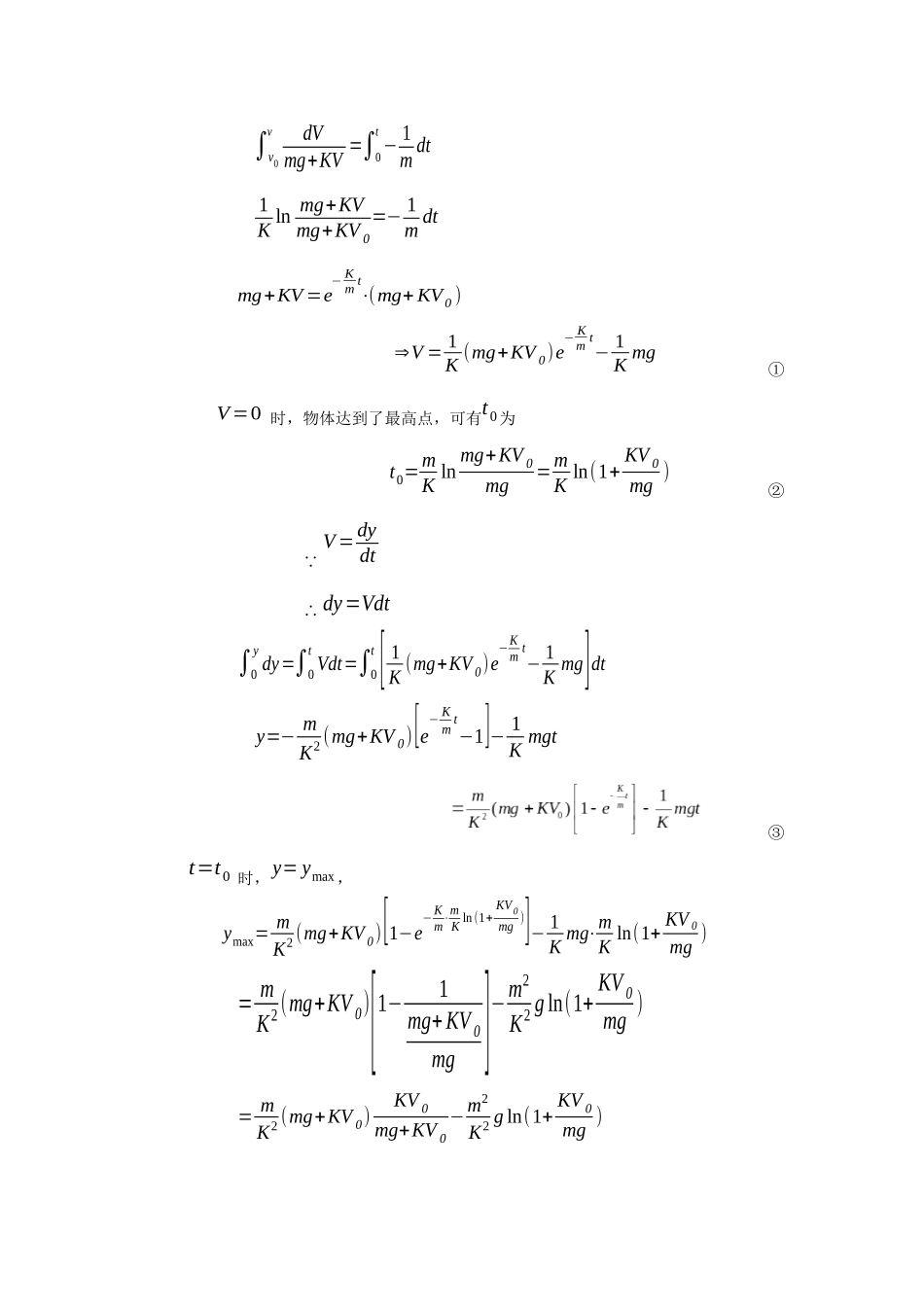
质点动力学习题答案2-1一个质量为P的质点,在光滑的固定斜面(倾角为)上以初速度v0运动,v0的方向与斜面底边的水平线AB平行,如图所示,求这质点的运动轨道.解:物体置于斜面上受到重力mg,斜面支持力N.建立坐标:取v0方向为X轴,平行斜面与X轴垂直方向为Y轴.如图2-1.图2-1X方向:Fx=0x=v0t①Y方向:Fy=mgsinα=may②时vy=0y=12gsinαt2由①、②式消去t,得y=12v02gsinα⋅x22-2质量为m的物体被竖直上抛,初速度为v0,物体受到的空气阻力数值为,为常数.求物体升高到最高点时所用时间及上升的最大高度.解:⑴研究对象:m⑵受力分析:m受两个力,重力及空气阻力⑶牛顿第二定律:合力:F=P+fP+f=may分量:−mg−KV=mdVdt⇒mdVmg+KV=−dt即dVmg+KV=−1mdt∫v0vdVmg+KV=∫0t−1mdt1Klnmg+KVmg+KV0=−1mdtmg+KV=e−Kmt⋅(mg+KV0)⇒V=1K(mg+KV0)e−Kmt−1Kmg①V=0时,物体达到了最高点,可有t0为t0=mKlnmg+KV0mg=mKln(1+KV0mg)② V=dydt∴dy=Vdt∫0ydy=∫0tVdt=∫0t[1K(mg+KV0)e−Kmt−1Kmg]dty=−mK2(mg+KV0)[e−Kmt−1]−1Kmgt③t=t0时,y=ymax,ymax=mK2(mg+KV0)[1−e−Km⋅mKln(1+KV0mg)]−1Kmg⋅mKln(1+KV0mg)=mK2(mg+KV0)[1−1mg+KV0mg]−m2K2gln(1+KV0mg)=mK2(mg+KV0)KV0mg+KV0−m2K2gln(1+KV0mg)=mV0K−m2K2gln(1+KV0mg)2-3一条质量为m,长为的匀质链条,放在一光滑的水平桌面,链子的一端由极小的一段长度被推出桌子边缘,在重力作用下开始下落,试求链条刚刚离开桌面时的速度.解:链条在运动过程中,其部分的速度、加速度均相同,沿链条方向,受力为,根据牛顿定律,有图2-4通过变量替换有,积分由上式可得链条刚离开桌面时的速度为2-5升降机内有两物体,质量分别为m1和m2,且m2=2m1.用细绳连接,跨过滑轮,绳子不可伸长,滑轮质量及一切摩擦都忽略不计,当升降机以匀加速a=上升时,求:(1)m1和m2相对升降机的加速度.(2)在地面上观察m1和m2的加速度各为多少?解:分别以m1,m2为研究对象,其受力图如图所示.(1)设m2相对滑轮(即升降机)的加速度为a',则m2对地加速度a2=a'−a;因绳不可伸长,故m1对滑轮的加速度亦为a',又m1在水平方向上没有受牵连运动的影响,所以m1在水平方向对地加速度亦为a',由牛顿定律,有m2g−T=m2(a'−a)T=m1a'题2-5图联立,解得a'=g方向向下(2)m2对地加速度为a2=a'−a=g2方向向上m1在水面方向有相对加速度,竖直方向有牵连加速度,即a绝=a相'+a牵∴a1=√a¿+a2=√g2+g24=√52gθ=arctanaa'=arctan12=26.6o,左偏上.2-6一物体受合力为F=2t(SI),做直线运动,试问在第二个5秒内和第一个5秒内物体受冲量之比及动量增量之比各为多少?解:设物体沿+x方向运动,I1=∫05Fdt=∫052tdt=25N·S(I1沿i方向)I2=∫510Fdt=∫5102tdt=75N·S(I2沿i方向)⇒I2/I1=3 {I2=(Δp)2I1=(Δp)1∴(Δp)2(Δp)1=32-7一弹性球,质量为m=0.020kg,速率v=5m/s,与墙壁碰撞后跳回.设跳回时速率不变,碰撞前后的速度方向和墙的法线夹角都为,⑴求碰撞过程中小球受到的冲量I=?⑵设碰撞时间为Δt=0.05s,求碰撞过程中小球受到的平均冲力解:{Ix=mv2x−mv1x=mvcosα−(−mvcosα)=2mvcosαIy=mv2y−mv1y=mvsinα−mvsinα=0⇒I=Ixi=2mvcosαi=2×0.020×5×cos60∘i=0.10{i¿N·S2-9一颗子弹由枪口射出时速率为v0m⋅s−1,当子弹在枪筒内被加速时,它所受的合力为F=(a−bt)N(a,b为常数),其中t以秒为单位:(1)假设子弹运行到枪口处合力刚好为零,试计算子弹走完枪筒全长所需时间;(2)求子弹所受的冲量.(3)求子弹的质量.解:(1)由题意,子弹到枪口时,有F=(a−bt)=0,得t=ab(2)子弹所受的冲量I=∫0t(a−bt)dt=at−12bt2将t=ab代入,得I=a22b(3)由动量定理可求得子弹的质量m=Iv0=a22bv02-10木块B静止置于水平台面上,小木块A放在B板的一端上,如图所示.已知kg,=0.75kg,小木块A与木块B之间的摩擦因数=0.5,木板B与台面间的摩擦因数=0.1.现在给小木块A一向右的水平初速度=40m/s,问经过多长时间A、B恰好具有相同的速度?(设B板足够长)解:当小木块A以初速度向右开始运动时,它将受到木板B的摩擦阻力的作用,木板B则在A给予的摩擦力及台面给予的摩擦力的共同作用下向右运动...

1、当您付费下载文档后,您只拥有了使用权限,并不意味着购买了版权,文档只能用于自身使用,不得用于其他商业用途(如 [转卖]进行直接盈利或[编辑后售卖]进行间接盈利)。
2、本站所有内容均由合作方或网友上传,本站不对文档的完整性、权威性及其观点立场正确性做任何保证或承诺!文档内容仅供研究参考,付费前请自行鉴别。
3、如文档内容存在违规,或者侵犯商业秘密、侵犯著作权等,请点击“违规举报”。

碎片内容

大学物理习题精选-答案——第2章-质点动力学

确认删除?
VIP
微信客服
  • 扫码咨询
会员Q群
  • 会员专属群点击这里加入QQ群
客服邮箱
回到顶部