电脑桌面
添加小米粒文库到电脑桌面
安装后可以在桌面快捷访问

高三数学第一轮复习:平面向量(文)人教实验A版知识精讲VIP免费

高三数学第一轮复习:平面向量(文)人教实验A版知识精讲_第1页
1/10
高三数学第一轮复习:平面向量(文)人教实验A版知识精讲_第2页
2/10
高三数学第一轮复习:平面向量(文)人教实验A版知识精讲_第3页
3/10
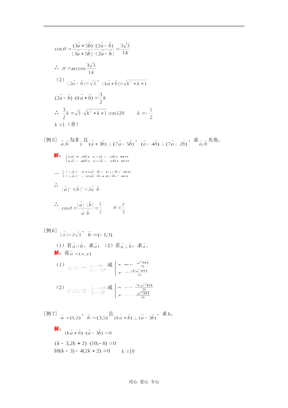
高三数学第一轮复习:平面向量(文)人教实验A版【本讲教育信息】一.教学内容:平面向量二.重点、难点:1.,2.(1)(2)(3)(4)(5)(6)【典型例题】[例1],,,,若A、B、D三点共线,求k。解:A、B、D三点共线存在,使∴∴[例2]四边形ABCD中,,判断四边形ABCD的形状。解:∴若则与四边形ABCD不符∴同理∴用心爱心专心∴∴∴∴同理、、∴四边形ABCD为矩形[例3]∠ABC中,求证:O为外心(1)G为重心(2)H为垂心(3)为垂心解:(1)∴∴A、D、G三点共线且G分之比∴G为重心(2)∴∴同理以上各步均可逆(3)∴∴∴同理、∴H为垂心,以上各步均可逆[例4]为单位向量,夹角为60°(1)求与的夹角;(2)若与夹角为120°,求k。解:,(1)用心爱心专心∴(2),∴(舍)[例5]为非且,,求夹角。解:∴∴[例6],(1)若,求;(2)若,求。解:设(1)或(2)或[例7],且,求k。解:用心爱心专心[例8]P分之比为,求A分之比。解:∴∴[例9]已知,,当实数k取何值时与平行?分析:两个向量平行的充要条件是存在实数,使。解析:当与平行时,存在唯一实数,使 由,得,解得故当时,与平行评析:两个向量平行还有另一种解法如本题: ∴由两向量平行的充要条件可得,解得[例10]已知ABCD的顶点,,C(5,6),求顶点D的坐标。解析:设顶点D的坐标为 由得∴∴∴顶点D的坐标为(1,5)[例11]已知,,与的夹角为60°,。(1)当m为何值时,c与d垂直;(2)当m为何值时,c与d共线。解析:(1)由向量垂直的充要条件得,用心爱心专心所以所以,即时,c与d垂直(2)由向量共线的充要条件知所以,因为与不共线所以解得即当时,c与d共线。[例12]向量满足,且,,则与夹角的余弦值等于。分析:先利用向量数量积的运算律,化简条件,再利用数量积的公式求夹角余弦。解析: (为与夹角)∴原式∴[例13]已知,与的夹角为45°,求使向量与的夹角为锐角时,的取值范围。解析:设与的夹角为∴即展开得 ∴即∴或另外,时,,故用心爱心专心∴[例14]已知向量和,,且,求的值。分析:从向量的模入手,求出满足的条件。解析:解法一:由已知,得又∴ ∴∴∴解法二:由已知得 ∴∴∴用心爱心专心[例15]在△ABC中,O为中线AM上的一个动点,若AM=2,则的最小值是。答案:解析:∴∴当且仅当时取等号∴【模拟试题】(答题时间:50分钟)1.已知向量满足,,,则()A.1B.C.D.2.在△ABC中,有命题:①;②;③若,则△ABC为等腰三角形;④若,则△ABC为锐角三角形。上述命题正确的是()A.①②B.①④C.②③D.②③④3.已知为基底向量,向量,,,若A、B、D三点共线,则k的取值是()A.2B.3C.-2D.-34.若向量,共线且方向相反,则k的值是()A.B.C.2D.05.已知向量,,则向量的模的取值范围是()A.B.C.D.6.若向量,,,则c=()A.B.C.D.7.若向量,,且,则x的值为()A.B.C.D.8.若,,且,则向量b的坐标为()A.(3,6)或B.或用心爱心专心C.(3,6)或D.或9.P是△ABC所在平面上一点,若,则P是△ABC的()A.外心B.内心C.重心D.垂心10.若,,,且,则向量与的夹角为()A.30°B.60°C.120°D.150°11.设是平面直角坐标系内x同、y轴正方向上的单位向量,且,,则△ABC的面积等于()A.5B.10C.15D.2012.已知函数且,设向量,,,。当时,与的大小关系是()A.B.C.时,;时,D.时,;时,13.若,,,且,则向量与的夹角为()A.30°B.60°C.120°D.150°14.若向量与不共线,,且,则向量与的夹角为()A.0B.C.D.15.已知向量与不共线,且,则下列结论中正确的是()A.向量与垂直B.向量与垂直C.向量与垂直D.向量与共线16.已知向量集合,,,则等于()A.B.C.D.17.已知向量,,且,则由x的值构成的集合是()A.B.C.D.18.在直角△ABC中,CD是斜边AB上的高,则下列等式不成立的是()A.B.C.D.19.连掷两次骰子得到的点数分别为m和n,记向量与向量的夹角为,则的概率是()A.B.C.D.20.设,在上的投影为,在x轴上的投影为2,且,则b为()用心爱心专心A.B.C.D.21.设是非零向量,若函数的图象是一条直线,则必有()A.B.C.D.22.已知A、B、C是不在同一条直线上的三个点,O是平面ABC内的一定点,P是平面ABC内的一动点,若...

1、当您付费下载文档后,您只拥有了使用权限,并不意味着购买了版权,文档只能用于自身使用,不得用于其他商业用途(如 [转卖]进行直接盈利或[编辑后售卖]进行间接盈利)。
2、本站所有内容均由合作方或网友上传,本站不对文档的完整性、权威性及其观点立场正确性做任何保证或承诺!文档内容仅供研究参考,付费前请自行鉴别。
3、如文档内容存在违规,或者侵犯商业秘密、侵犯著作权等,请点击“违规举报”。

碎片内容

高三数学第一轮复习:平面向量(文)人教实验A版知识精讲

您可能关注的文档

慧源书店+ 关注
实名认证
内容提供者

从事历史教学,热爱教育,高度负责。

相关文档

确认删除?
VIP
微信客服
  • 扫码咨询
会员Q群
  • 会员专属群点击这里加入QQ群
客服邮箱
回到顶部