电脑桌面
添加小米粒文库到电脑桌面
安装后可以在桌面快捷访问

高三数学第一轮复习 阶段测试卷(第2周)文-人教版高三全册数学试题VIP免费

高三数学第一轮复习 阶段测试卷(第2周)文-人教版高三全册数学试题_第1页
1/6
高三数学第一轮复习 阶段测试卷(第2周)文-人教版高三全册数学试题_第2页
2/6
高三数学第一轮复习 阶段测试卷(第2周)文-人教版高三全册数学试题_第3页
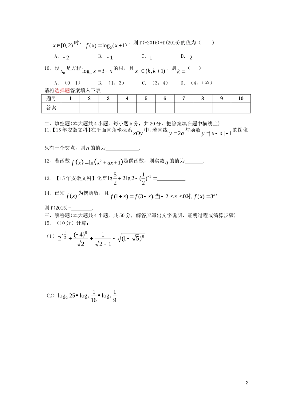
3/6
高三文科数学阶段测试卷【测试范围:函数的重要性质,指对幂函数,函数与方程】一、选择题(本大题共10小题,每小题5分,共50分.每小题中只有一项符合题目要求)1、【15年北京文科】下列函数中为偶函数的是()A.B.C.D.2、幂函数()fxx的图像经过点)21,4(,则1()4f的值为()A.4B.3C.2D.13、【15年广东文科】下列函数中,既不是奇函数,也不是偶函数的是()A.2sinyxxB.2cosyxxC.122xxyD.sin2yxx4、已知函数3log,0()2,0xxxfxx,则1(())9ff()A.4B.14C.4D.145、函数()2xfxex的零点所在的一个区间是()A.(2,1)B.(1,0)C.(0,1)D.(1,2)6、函数)0(12)0(2xxxyx的图象大致是()7、设2131oga,3.02)21(3logcb,,则()A.a

1、当您付费下载文档后,您只拥有了使用权限,并不意味着购买了版权,文档只能用于自身使用,不得用于其他商业用途(如 [转卖]进行直接盈利或[编辑后售卖]进行间接盈利)。
2、本站所有内容均由合作方或网友上传,本站不对文档的完整性、权威性及其观点立场正确性做任何保证或承诺!文档内容仅供研究参考,付费前请自行鉴别。
3、如文档内容存在违规,或者侵犯商业秘密、侵犯著作权等,请点击“违规举报”。

碎片内容

高三数学第一轮复习 阶段测试卷(第2周)文-人教版高三全册数学试题

您可能关注的文档

确认删除?
微信客服
  • 扫码咨询
会员Q群
  • 会员专属群点击这里加入QQ群