电脑桌面
添加小米粒文库到电脑桌面
安装后可以在桌面快捷访问

高三数学数列通项公式习题精选精讲VIP免费

高三数学数列通项公式习题精选精讲_第1页
1/14
高三数学数列通项公式习题精选精讲_第2页
2/14
高三数学数列通项公式习题精选精讲_第3页
3/14
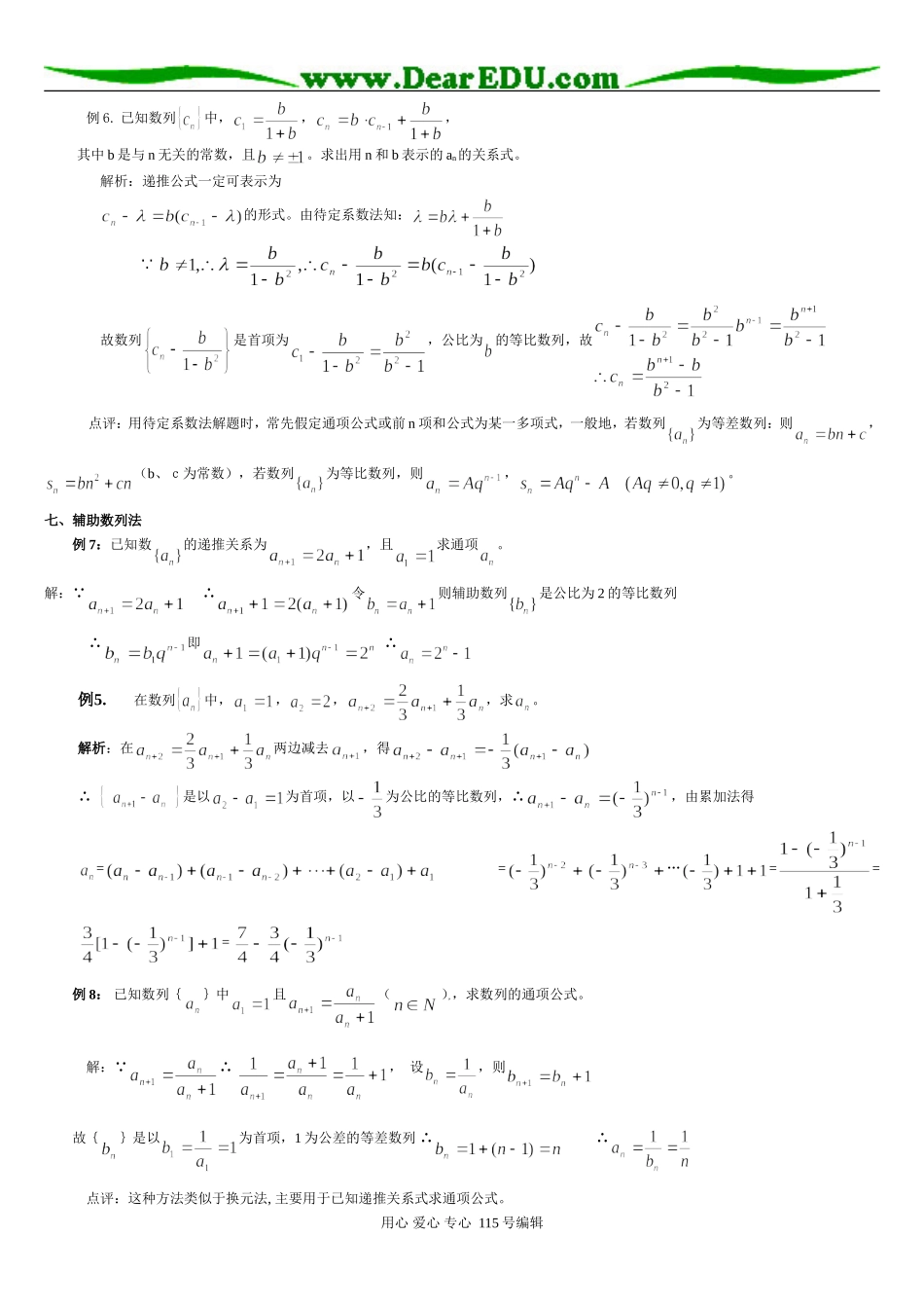
数列通项公式的求法几种常见的数列的通项公式的求法一.观察法例1:根据数列的前4项,写出它的一个通项公式:(1)9,99,999,9999,…(2)(3)(4)解:(1)变形为:101-1,102―1,103―1,104―1,……∴通项公式为:(2)(3)(4).点评:关键是找出各项与项数n的关系。二、公式法例2:已知数列{an}是公差为d的等差数列,数列{bn}是公比为q的(q∈R且q≠1)的等比数列,若函数f(x)=(x-1)2,且a1=f(d-1),a3=f(d+1),b1=f(q+1),b3=f(q-1),(1)求数列{an}和{bn}的通项公式;解:(1) a1=f(d-1)=(d-2)2,a3=f(d+1)=d2,∴a3-a1=d2-(d-2)2=2d,∴d=2,∴an=a1+(n-1)d=2(n-1);又b1=f(q+1)=q2,b3=f(q-1)=(q-2)2,∴=q2,由q∈R,且q≠1,得q=-2,∴bn=b·qn-1=4·(-2)n-1例1.等差数列是递减数列,且=48,=12,则数列的通项公式是()(A)(B)(C)(D)解析:设等差数列的公差位d,由已知,解得,又是递减数列,∴,,∴,故选(D)。例2.已知等比数列的首项,公比,设数列的通项为,求数列的通项公式。解析:由题意,,又是等比数列,公比为∴,故数列是等比数列,,∴点评:当已知数列为等差或等比数列时,可直接利用等差或等比数列的通项公式,只需求得首项及公差公比。三、叠加法例3:已知数列6,9,14,21,30,…求此数列的一个通项。解易知 ……用心爱心专心115号编辑各式相加得∴点评:一般地,对于型如类的通项公式,只要能进行求和,则宜采用此方法求解。例4.若在数列中,,,求通项。解析:由得,所以,,…,,将以上各式相加得:,又所以=四、叠乘法例4:在数列{}中,=1,(n+1)·=n·,求的表达式。解:由(n+1)·=n·得,=··…=所以例4.已知数列中,,前项和与的关系是,试求通项公式。解析:首先由易求的递推公式:将上面n—1个等式相乘得:点评:一般地,对于型如=(n)·类的通项公式,当的值可以求得时,宜采用此方法。五、Sn法利用(≥2)例5:已知下列两数列的前n项和sn的公式,求的通项公式。(1)。(2)解:(1)===3此时,。∴=3为所求数列的通项公式。(2),当时由于不适合于此等式。∴点评:要先分n=1和两种情况分别进行运算,然后验证能否统一。六、待定系数法:例6:设数列的各项是一个等差数列与一个等比数列对应项的和,若c1=2,c2=4,c3=7,c4=12,求通项公式cn解:设用心爱心专心115号编辑例6.已知数列中,,,其中b是与n无关的常数,且。求出用n和b表示的an的关系式。解析:递推公式一定可表示为的形式。由待定系数法知:故数列是首项为,公比为的等比数列,故点评:用待定系数法解题时,常先假定通项公式或前n项和公式为某一多项式,一般地,若数列为等差数列:则,(b、c为常数),若数列为等比数列,则,。七、辅助数列法例7:已知数的递推关系为,且求通项。解: ∴令则辅助数列是公比为2的等比数列∴即∴例5.在数列中,,,,求。解析:在两边减去,得∴是以为首项,以为公比的等比数列,∴,由累加法得==…===例8:已知数列{}中且(),,求数列的通项公式。解: ∴,设,则故{}是以为首项,1为公差的等差数列∴∴点评:这种方法类似于换元法,主要用于已知递推关系式求通项公式。用心爱心专心115号编辑利用递推关系求数列通项的九种类型及解法1.形如型(1)若f(n)为常数,即:,此时数列为等差数列,则=.(2)若f(n)为n的函数时,用累加法.方法如下:由得:时,,,所以各式相加得即:.为了书写方便,也可用横式来写:时,,=.例1.(2003天津文)已知数列{an}满足,证明证明:由已知得:=.例2.已知数列的首项为1,且写出数列的通项公式.答案:例3.已知数列满足,,求此数列的通项公式.答案:用心爱心专心115号编辑评注:已知,,其中f(n)可以是关于n的一次函数、二次函数、指数函数、分式函数,求通项.①若f(n)是关于n的一次函数,累加后可转化为等差数列求和;②若f(n)是关于n的二次函数,累加后可分组求和;③若f(n)是关于n的指数函数,累加后可转化为等比数列求和;④若f(n)是关于n的分式函数,累加后可裂项求和。例4.已知数列中,且,求数列的通项公式.解:由已知得,化简有,由类型(1)有,又得,所以,又,,则此题也可以用数学...

1、当您付费下载文档后,您只拥有了使用权限,并不意味着购买了版权,文档只能用于自身使用,不得用于其他商业用途(如 [转卖]进行直接盈利或[编辑后售卖]进行间接盈利)。
2、本站所有内容均由合作方或网友上传,本站不对文档的完整性、权威性及其观点立场正确性做任何保证或承诺!文档内容仅供研究参考,付费前请自行鉴别。
3、如文档内容存在违规,或者侵犯商业秘密、侵犯著作权等,请点击“违规举报”。

碎片内容

高三数学数列通项公式习题精选精讲

您可能关注的文档

慧源书店+ 关注
实名认证
内容提供者

从事历史教学,热爱教育,高度负责。

确认删除?
VIP
微信客服
  • 扫码咨询
会员Q群
  • 会员专属群点击这里加入QQ群
客服邮箱
回到顶部