电脑桌面
添加小米粒文库到电脑桌面
安装后可以在桌面快捷访问

高三数学数列章节小结VIP免费

高三数学数列章节小结_第1页
1/3
高三数学数列章节小结_第2页
2/3
高三数学数列章节小结_第3页
3/3
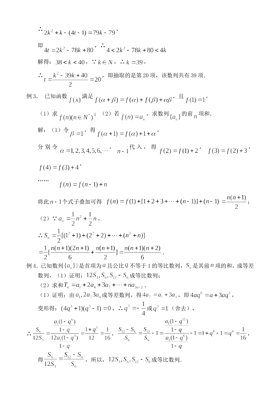
高三数学数列小结一、课题:数列小结二、教学目标:进一步掌握数列的概念、等比数列与等差数列的性质及有关运算、数列的实际运用.三、教学重点:数列知识的综合运用.四、教学过程:例1.(《高考A计划》本章命题设计第17题)已知数列是等比数列,,公比,其前项和为,若,试判断的单调性.解:当时,,∴此时是递减数列;当时,,∵()∴得,∴此时数列也是递减数列;综上,数列是递减数列.例2.(《高考A计划》本章命题设计第18题)有固定项数的数列的前项和,现从中抽取一项(不包括首项和末项)后,余下的项的平均值是79,(1)求数列的通项公式;(2)求这个数列的项数,抽取的是第几项?解:,,显然,满足上式,∴.(2)设抽取的是第项,数列共有项,得,由题意得,∴,即,∴解得:,∵,∴,∴,即抽取的是第20项,该数列共有39项.例3.已知函数满足,且,(1)求;(2)若,求数列的前项和.解:(1)令,得,分别令,代入,得,,,……将此个式子叠加可得;(2)∵,∴.例4.已知数列}是首项为且公比不等于1的等比数列,是其前项的和,成等差数列,(1)证明:成等比数列;(2)求和.(1)证明:由成等差数列,得,即,变形得:,∴或(舍去),∴,,得,所以,成等比数列.(2)解:即①①×得:所以,.(四)巩固练习:1.在等差数列中,,记,则()168156781522.已知数列{}的前n项和其中是非零常数,则存在数列{}、{}使得(),其中为等差数列,{}为等比数列,其中和{}都为等差数列,其中为等差数列,{}都为等比数列,其中和{}都为等比数列五、课后作业:《高考计划》本章命题设计9,11,19,20,21.

1、当您付费下载文档后,您只拥有了使用权限,并不意味着购买了版权,文档只能用于自身使用,不得用于其他商业用途(如 [转卖]进行直接盈利或[编辑后售卖]进行间接盈利)。
2、本站所有内容均由合作方或网友上传,本站不对文档的完整性、权威性及其观点立场正确性做任何保证或承诺!文档内容仅供研究参考,付费前请自行鉴别。
3、如文档内容存在违规,或者侵犯商业秘密、侵犯著作权等,请点击“违规举报”。

碎片内容

高三数学数列章节小结

您可能关注的文档

慧源书店+ 关注
实名认证
内容提供者

从事历史教学,热爱教育,高度负责。

确认删除?
VIP
微信客服
  • 扫码咨询
会员Q群
  • 会员专属群点击这里加入QQ群
客服邮箱
回到顶部