电脑桌面
添加小米粒文库到电脑桌面
安装后可以在桌面快捷访问

高三数学复习之30分钟小练习(31)VIP免费

高三数学复习之30分钟小练习(31)_第1页
1/4
高三数学复习之30分钟小练习(31)_第2页
2/4
高三数学复习之30分钟小练习(31)_第3页
3/4
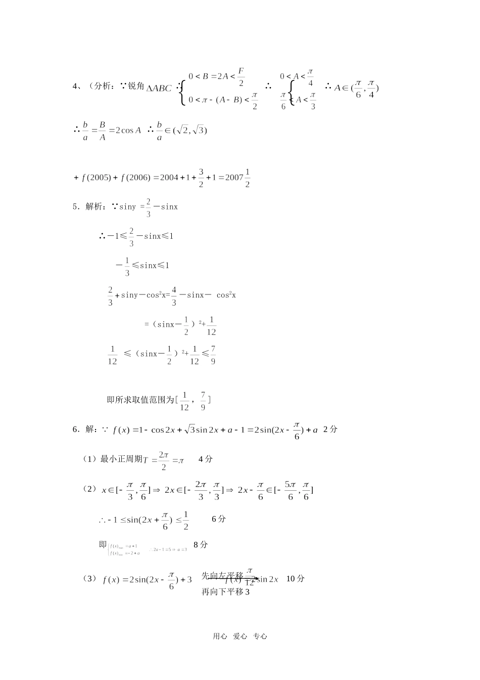
高三数学复习之30分钟小练习(31)1、不等式sin2x>cos2x在区间(0,π)上的解集是A、B、C、D、2、函数的部分图象如右图所示,则的解析式可能是A.B.C.D.3、函数的图象如右,则的解析式和的值分别为A.,B.,C.,D.,4、锐角,若,则的值范围是。5.已知sinx+siny=,求siny-cos2x的取值范围6.(本小题满分12分)已知:为常数)(1)若,求的最小正周期;(2)若在[上最大值与最小值之和为5,求的值;用心爱心专心OxyO212324x1y(3)在(2)条件下先按平移后再经过伸缩变换后得到求.参考答案1、C【思路分析】原不等式等价于cos2x<0∵2x∈(0,2π),∴2、B【思路分析】由=0排除A;对于有,排除C;由为偶函数图象关于y轴对称,排除D.3、B观察图形知,,只知,,,,,且以4为周期,,,∴用心爱心专心4、(分析:∵锐角∴∴∴∴∴5.解析:∵siny=-sinx∴-1≤-sinx≤1-≤sinx≤1siny-cos2x=-sinx-cos2x=(sinx-)2+≤(sinx-)2+≤即所求取值范围为[,]6.解:2分(1)最小正周期4分(2)6分即8分(3)10分用心爱心专心{{先向左平移再向下平移312分天星教育网(www.tesoon.com)版权所有天星教育网(www.tesoon.com)版权所有天星教育网(www.tesoon.com)版权所有天星教育网(www.tesoon.com)版权所有用心爱心专心天Ttesoon天天Ttesoontesoontesoon天星

1、当您付费下载文档后,您只拥有了使用权限,并不意味着购买了版权,文档只能用于自身使用,不得用于其他商业用途(如 [转卖]进行直接盈利或[编辑后售卖]进行间接盈利)。
2、本站所有内容均由合作方或网友上传,本站不对文档的完整性、权威性及其观点立场正确性做任何保证或承诺!文档内容仅供研究参考,付费前请自行鉴别。
3、如文档内容存在违规,或者侵犯商业秘密、侵犯著作权等,请点击“违规举报”。

碎片内容

高三数学复习之30分钟小练习(31)

您可能关注的文档

慧源书店+ 关注
实名认证
内容提供者

从事历史教学,热爱教育,高度负责。

相关文档

确认删除?
VIP
微信客服
  • 扫码咨询
会员Q群
  • 会员专属群点击这里加入QQ群
客服邮箱
回到顶部