电脑桌面
添加小米粒文库到电脑桌面
安装后可以在桌面快捷访问

等四校高一数学下学期第二次月考试题-人教版高一全册数学试题VIP免费

等四校高一数学下学期第二次月考试题-人教版高一全册数学试题_第1页
1/20
等四校高一数学下学期第二次月考试题-人教版高一全册数学试题_第2页
2/20
等四校高一数学下学期第二次月考试题-人教版高一全册数学试题_第3页
3/20
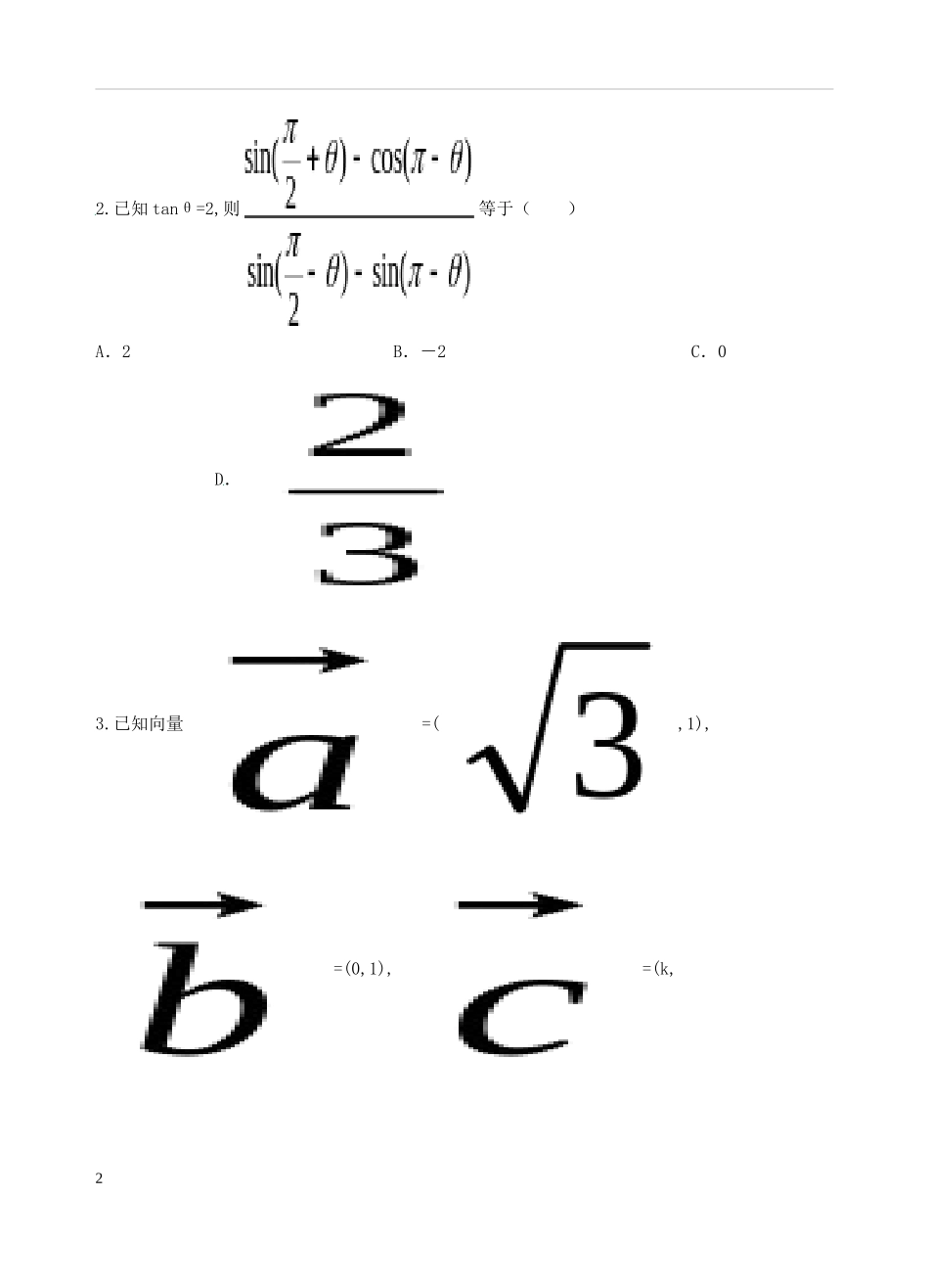
2015-2016学年度第二学期四校高一年级第二次月考数学试题一、单项选择题(共12小题,每小题5分,共60分)1、sin(-1920o)的值()A.-B.-C.D.2.已知tanθ=2,则等于()A.2B.-2C.0D.3.已知向量=(,1),=(0,1),=(k,2),若+2与互相垂直,则k=()A.-3B.-2C.1D.-14.四边形ABCD中,若,(,则四边形ABCD是()A.矩形B.正方形C.菱形D.梯形5.在△ABC中,角A、B、C所对的边分别为a、b、c.若sin2A+sin2C-sin2B=3sinAsinC,则角B为()A.B.C.D.46.若sin(,则sin2α=()A.-B.C.-D.57.在平行四边形ABCD中,AD=1,∠BAD=60o,E为CD的中点,若,则AB的长为()A.B.1C.D.28.已知函数f(x)=sin(ωx+φ),(ω>0,|φ|<)的最小正周期是6π.若其图像向右平移个单位长度后得到的图像对应的函数为奇函数,则函数f(x)的图像()A.关于点(,0)对称B.关于直线x=对称C.关于点(,0)对称7D.关于直线x=对称9.在△ABC中,若sinBsinC=cos2,则△ABC是()A.等边三角形B.等腰三角形C.直角三角形D.等腰直角三角形10已知△ABC中,角A、B、C所对的边长分别为a、b、c.若A=,b=2acosB,c=1,则△ABC的面积等于()A.B.8C.D.11.已知α、β∈(0,),且满足tan(α+β)=4tanβ,则tanα的最大值是()A.B.9C.D.12.已知函数f(x)=sin2x+2cos2x-,g(x)=mcos(2x-)-2m+3(m>0).若存在x1,x2∈[0,10],使得f(x1)=g(x2)成立,则实数m的取值范围是()A.[0,1]B.[1,2]C.[,2]D.[,]二、填空题(共4小题,每小题5分,共20分)13.若是平面内夹角为60o的两个单位向量,则向量11=2,=的夹角为。14.sin40o·的值为。15.已知△ABC的三个内角A、B、C所对的边分别为a、b、c,且,则角A的大小为。1216.已知函数y=4sin(2x+)(x∈[0,]的图像与直线y=m有三个交点,且交点的横坐标为x1,x2,x3(x1

1、当您付费下载文档后,您只拥有了使用权限,并不意味着购买了版权,文档只能用于自身使用,不得用于其他商业用途(如 [转卖]进行直接盈利或[编辑后售卖]进行间接盈利)。
2、本站所有内容均由合作方或网友上传,本站不对文档的完整性、权威性及其观点立场正确性做任何保证或承诺!文档内容仅供研究参考,付费前请自行鉴别。
3、如文档内容存在违规,或者侵犯商业秘密、侵犯著作权等,请点击“违规举报”。

碎片内容

等四校高一数学下学期第二次月考试题-人教版高一全册数学试题

您可能关注的文档

慧源书店+ 关注
实名认证
内容提供者

从事历史教学,热爱教育,高度负责。

确认删除?
微信客服
  • 扫码咨询
会员Q群
  • 会员专属群点击这里加入QQ群