电脑桌面
添加小米粒文库到电脑桌面
安装后可以在桌面快捷访问

高一数学:模块训练(7) 新人教A版必修4VIP免费

高一数学:模块训练(7)  新人教A版必修4_第1页
1/4
高一数学:模块训练(7)  新人教A版必修4_第2页
2/4
高一数学:模块训练(7)  新人教A版必修4_第3页
3/4
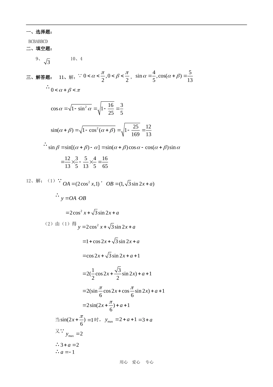
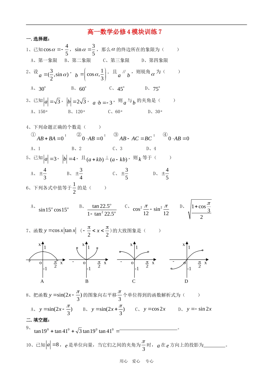
高一数学必修4模块训练7一.选择题:1、已知54cos,53sin,那么的终边所在的象限为()A、第一象限B、第二象限C、第三象限D、第四象限2、设a3(,sin)2,b1cos,3,且a∥b,则锐角为()A、30B、60C、45D、753、已知3a,23b,3ab,则a与b的夹角是()A、150B、120C、60D、304、下列命题正确的个数是()①0ABBA�;②00AB��;③ABACBC�;④00AB�A、1B、2C、3D、45、已知3a,4b,且()akb⊥()akb,则k等于()A、34B、43C、53D、546、下列各式中值等于12的是()A、sin15cos15B、2tan22.51tan22.5C、22cossin1212D、1cos327、函数costanyxx(22x)的大致图象是()8、把函数sin(2)3yx的图象向右平移3个单位得到的函数解析式为()A、sin(2)3yxB、sin(2)3yxC、cos2yxD、sin2yx二.填空题:9、000041tan19tan341tan19tan。10、已知8a,e是单位向量,当它们之间的夹角为3时,a在e方向上的投影为。用心爱心专心xxoA2-xxoB2-xxoD2-xxoC2-1-11-1-11-11三.解答题:11、已知,都是锐角,4sin5,5cos()13,求sin的值12、已知O为坐标原点,2(2cos,1)OAx�,(1,3sin2)OBxa�(,xRaR,a是常数),若yOAOB�(1)求y关于x的函数关系式()fx;(2)若()fx的最大值为2,求a的值;(3)利用(2)的结论,用“五点法”作出函数()fx在长度为一个周期的闭区间上的简图,并指出其单调区间。参考答案用心爱心专心一、选择题:BCBABBCD二、填空题:9、310、4三、解答题:11、解:0,022,45sin,cos()513∴02163cos1sin125522512sin()1cos()116913∴sinsin[()]sin()coscos()sin12354161351356512、解:(1)∵2(2cos,1)OAx�,(1,3sin2)OBxa�∴yOAOB�22cos3sin2xxa(2)由(1)得22cos3sin2yxxa1cos23sin2xxacos23sin21xxa132(cos2sin2)122xxa2(sincos2cossin2)166xxa2sin(2)16xa当sin(2)6x1时,max21ya3a又∵max2y∴32a∴1a用心爱心专心(3)由(2)得,2sin(2)6yx26x02322x1265122311122sin(2)6yx02020增区间是:[,]()36kkkZ,减区间是:2[,]()63kkkZ用心爱心专心22XY126512231112

1、当您付费下载文档后,您只拥有了使用权限,并不意味着购买了版权,文档只能用于自身使用,不得用于其他商业用途(如 [转卖]进行直接盈利或[编辑后售卖]进行间接盈利)。
2、本站所有内容均由合作方或网友上传,本站不对文档的完整性、权威性及其观点立场正确性做任何保证或承诺!文档内容仅供研究参考,付费前请自行鉴别。
3、如文档内容存在违规,或者侵犯商业秘密、侵犯著作权等,请点击“违规举报”。

碎片内容

高一数学:模块训练(7) 新人教A版必修4

您可能关注的文档

确认删除?
VIP
微信客服
  • 扫码咨询
会员Q群
  • 会员专属群点击这里加入QQ群
客服邮箱
回到顶部