电脑桌面
添加小米粒文库到电脑桌面
安装后可以在桌面快捷访问

高一数学集合与简易逻辑综合复 习训练人教版VIP免费

高一数学集合与简易逻辑综合复 习训练人教版_第1页
1/6
高一数学集合与简易逻辑综合复 习训练人教版_第2页
2/6
高一数学集合与简易逻辑综合复 习训练人教版_第3页
3/6
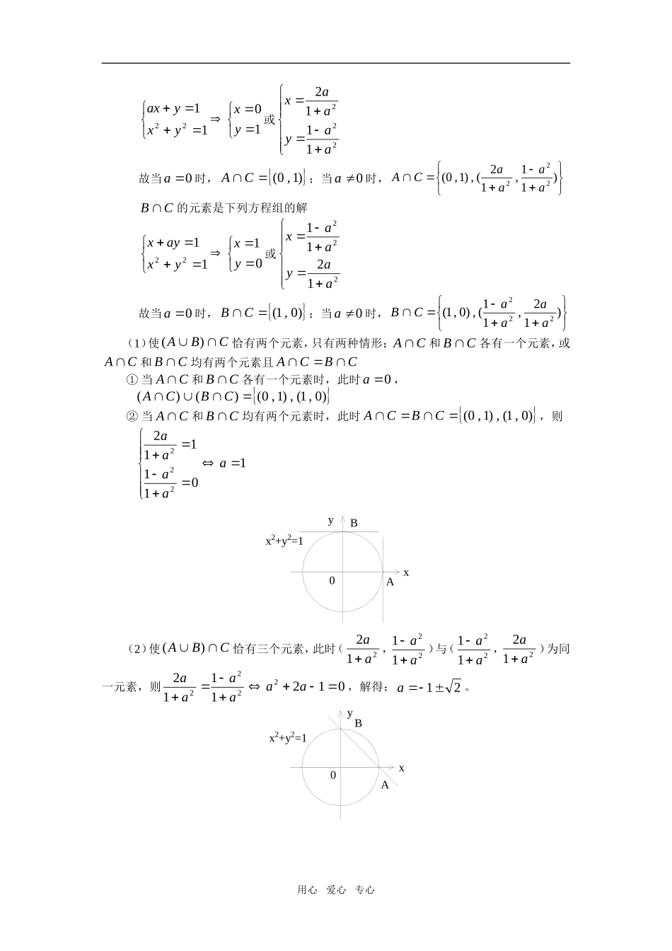
高一数学集合与简易逻辑综合复习训练人教版【同步教育信息】一.本周教学内容:集合与简易逻辑综合复习训练二.重点:本节重点是通过集合、逻辑以及函数知识的综合,培养学生分析问题和解决数学问题的能力。【例题讲解】[例1]已知p:方程012mxx有两个不相等的负实根;q:方程1)2(442xmx0无实根,如果p或q为真,p且q为假,求m的取值范围。解:由020421mm得2m即p:2m又由016)]2(4[22m得:0)34(162mm31m即q:31m,而p或q为真,p且q为假等价于p和q中有且仅有一个为真一个为假。当p真q假时,有312mmm或得:3m当p假q真时,有312mm得:21m综上所述,m的取值范围是3m或21m。[例2]设RU,1|xxA,034|2xxxB,求集合C,使它同时满足下列三个条件:(1)ZBACCU])[((2)BC(3)C有2个元素解:由11|xxxA或,13|xxB,则13|11|)(xxxxBACU13|xx故1,0,1,2])[(ZBACU由(1)和(2)知:C2又由(3),知1,2C或0,2C或1,2C[例3]已知集合1|),(yaxyxA,1|),(ayxyxB,22|),{(yxyxC}1。(1)当a取何值时,CBA)(含有两个元素。(2)当a取何值时,CBA)(含有三个元素。解:可以证明)()()(CBCACBA,CA的元素是下列方程组的解用心爱心专心101122yxyxyax或2221112aayaax故当0a时,)1,0(CA;当0a时,)11,12(,)1,0(222aaaaCACB的元素是下列方程组的解011122yxyxayx或2221211aayaax故当0a时,)0,1(CB;当0a时,)12,11(,)0,1(222aaaaCB(1)使CBA)(恰有两个元素,只有两种情形:CA和CB各有一个元素,或CA和CB均有两个元素且CBCA①当CA和CB各有一个元素时,此时0a,)0,1(,)1,0()()(CBCA②当CA和CB均有两个元素时,此时)0,1(,)1,0(CBCA,则1011112222aaaaaABxyx2+y2=10(2)使CBA)(恰有三个元素,此时(212aa,2211aa)与(2211aa,212aa)为同一元素,则01211122222aaaaaa,解得:21a。xy0x2+y2=1AB用心爱心专心当21a时,)22,22(,)0,1(,)1,0()(CBA当21a时,)22,22(,)0,1(,)1,0()(CBA即当21a时,CBA)(恰有三个元素。[例4]设01|),(yxyxA,qpxxyyxB221|),(。(1)求使BA的充要条件(p、q的关系式)(2)求在(1)的条件下,满足qpxxy221的最小值为0时,p能取的最大值和q能取的最小值。解:(1)利用数形结合可知BA的充要条件为)1(212xqpxx恒成立即对任意Rx,恒有:0)1(2)1(22qxpx。此式成立的充要条件为:0)1(8)1(42qp即21212ppqxy0x+y+1=0y=x2+px+q12(2)由2)(2121222pqpxqpxxy故22minpqy,令0miny即022pq则22pq代入2122ppq得:212222ppp即21p用心爱心专心故p的最大值为21又由11)1(2121222pppq,又由022pq故q的最小值为0所以p能取的最大值为21,q能取的最小值为0【模拟试题】一.选择题:1.设全集为U,A、B为U的子集,则下列命题中与BA等价的有()(1)ABA(2)BBA(3))(BCAU(4)UBACU)(A.1个B.2个C.3个D.4个2.已知p:1a,q:01222aaxx的两个根介于2和4之间,则p是q的()A.充分不必要条件B.必要不充分条件C.充要条件D.既不充分也不必要条件3.已知122|{nnnxxA且17mx,m,}*Nn,则6A的各元素之和为()A.1089B.990C.891D.792二.填空题:1.已知xxxA31|,1,0)1(|2aaxaxxB,2|{xxU}0910x,若9...

1、当您付费下载文档后,您只拥有了使用权限,并不意味着购买了版权,文档只能用于自身使用,不得用于其他商业用途(如 [转卖]进行直接盈利或[编辑后售卖]进行间接盈利)。
2、本站所有内容均由合作方或网友上传,本站不对文档的完整性、权威性及其观点立场正确性做任何保证或承诺!文档内容仅供研究参考,付费前请自行鉴别。
3、如文档内容存在违规,或者侵犯商业秘密、侵犯著作权等,请点击“违规举报”。

碎片内容

高一数学集合与简易逻辑综合复 习训练人教版

您可能关注的文档

海博书城+ 关注
实名认证
内容提供者

从事历史教学,热爱教育,高度负责。

确认删除?
VIP
微信客服
  • 扫码咨询
会员Q群
  • 会员专属群点击这里加入QQ群
客服邮箱
回到顶部