电脑桌面
添加小米粒文库到电脑桌面
安装后可以在桌面快捷访问

高一数学正弦、余弦的诱导公式人教大开本、3+X知识精讲VIP免费

高一数学正弦、余弦的诱导公式人教大开本、3+X知识精讲_第1页
1/6
高一数学正弦、余弦的诱导公式人教大开本、3+X知识精讲_第2页
2/6
高一数学正弦、余弦的诱导公式人教大开本、3+X知识精讲_第3页
3/6
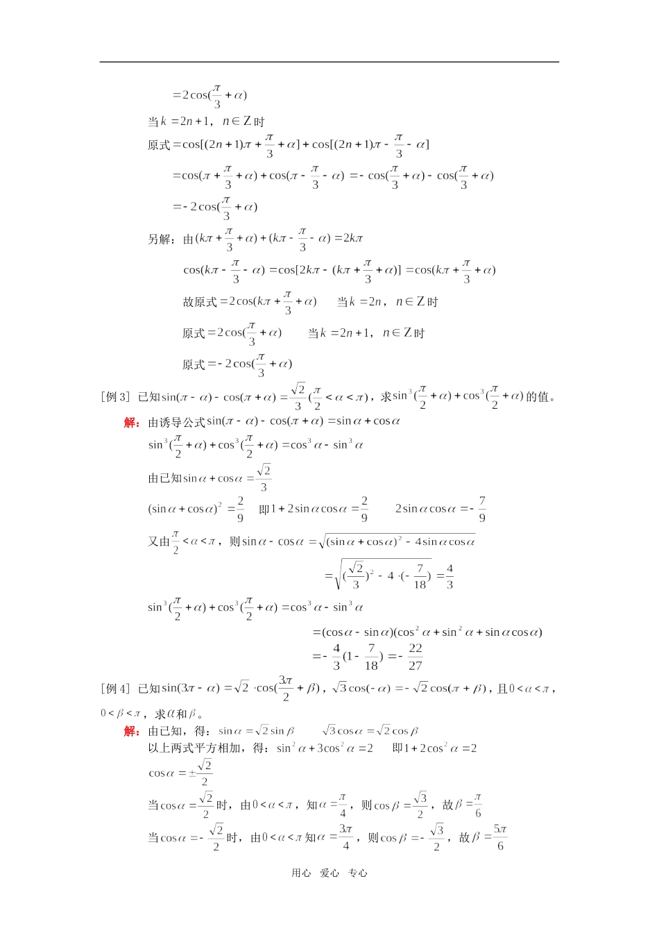
高一数学正弦、余弦的诱导公式人教大开本、3+X【同步教育信息】一.本周教学内容:正弦、余弦的诱导公式二.重点、难点:掌握诱导公式内容并能熟练掌握利用诱导公式把任意角的三角函数转化为锐角三角函数。公式(一):公式(二):公式(三):公式(四):公式(五):以下补充公式六——公式九公式(六):公式(七):公式(八):公式(九):利用诱导公式把任意角的三角函数化为锐角三角函数的步骤。任意角任意正角0到的角锐角三角函数【典型例题】[例1]化简解:原式[例2]化简,。解:由已知原式当,时原式用心爱心专心当,时原式另解:由故原式当,时原式当,时原式[例3]已知,求的值。解:由诱导公式由已知即又由,则[例4]已知,,且,,求和。解:由已知,得:以上两式平方相加,得:即当时,由,知,则,故当时,由知,则,故用心爱心专心综上所述或[例5]已知、是关于的二次方程的两个根,试求的值。解:利用诱导公式可求得:故有:由已知条件并利用韦达定理,又故于是原方程即由故方程有两实根,则原式=[例6]设,,且,求的取值范围。解:由可得故整理得:由,则化简,得:又,故或故的取值范围是:,用心爱心专心[例7]已知,,求证:。证明:利用诱导公式和同角三角函数基本关系式,得:左当且仅当,且时,取等号。【模拟试题】一.选择题:1.已知,且,则的值为()A.B.C.或D.或2.若,则等于()A.B.C.D.3.已知、,且满足关系式:,则与分别为()A.,B.,C.,D.,二.填空题:1.若,则函数的最小值为。2.已知、是方程的两个实数根,且,则。3.若,则函数的最小值是,最大值是。三.解答题:1.试求函数的最小值。用心爱心专心用心爱心专心试题答案一.1.A2.A3.B二.1.2.3.1;三.解:令,则去分母,整理得:时,由,,当时,等号成立,用心爱心专心

1、当您付费下载文档后,您只拥有了使用权限,并不意味着购买了版权,文档只能用于自身使用,不得用于其他商业用途(如 [转卖]进行直接盈利或[编辑后售卖]进行间接盈利)。
2、本站所有内容均由合作方或网友上传,本站不对文档的完整性、权威性及其观点立场正确性做任何保证或承诺!文档内容仅供研究参考,付费前请自行鉴别。
3、如文档内容存在违规,或者侵犯商业秘密、侵犯著作权等,请点击“违规举报”。

碎片内容

高一数学正弦、余弦的诱导公式人教大开本、3+X知识精讲

您可能关注的文档

海博书城+ 关注
实名认证
内容提供者

从事历史教学,热爱教育,高度负责。

相关文档

确认删除?
VIP
微信客服
  • 扫码咨询
会员Q群
  • 会员专属群点击这里加入QQ群
客服邮箱
回到顶部