电脑桌面
添加小米粒文库到电脑桌面
安装后可以在桌面快捷访问

2020年南京工业大学有机化学期末试卷VIP专享VIP免费

2020年南京工业大学有机化学期末试卷_第1页
1/8
2020年南京工业大学有机化学期末试卷_第2页
2/8
2020年南京工业大学有机化学期末试卷_第3页
3/8
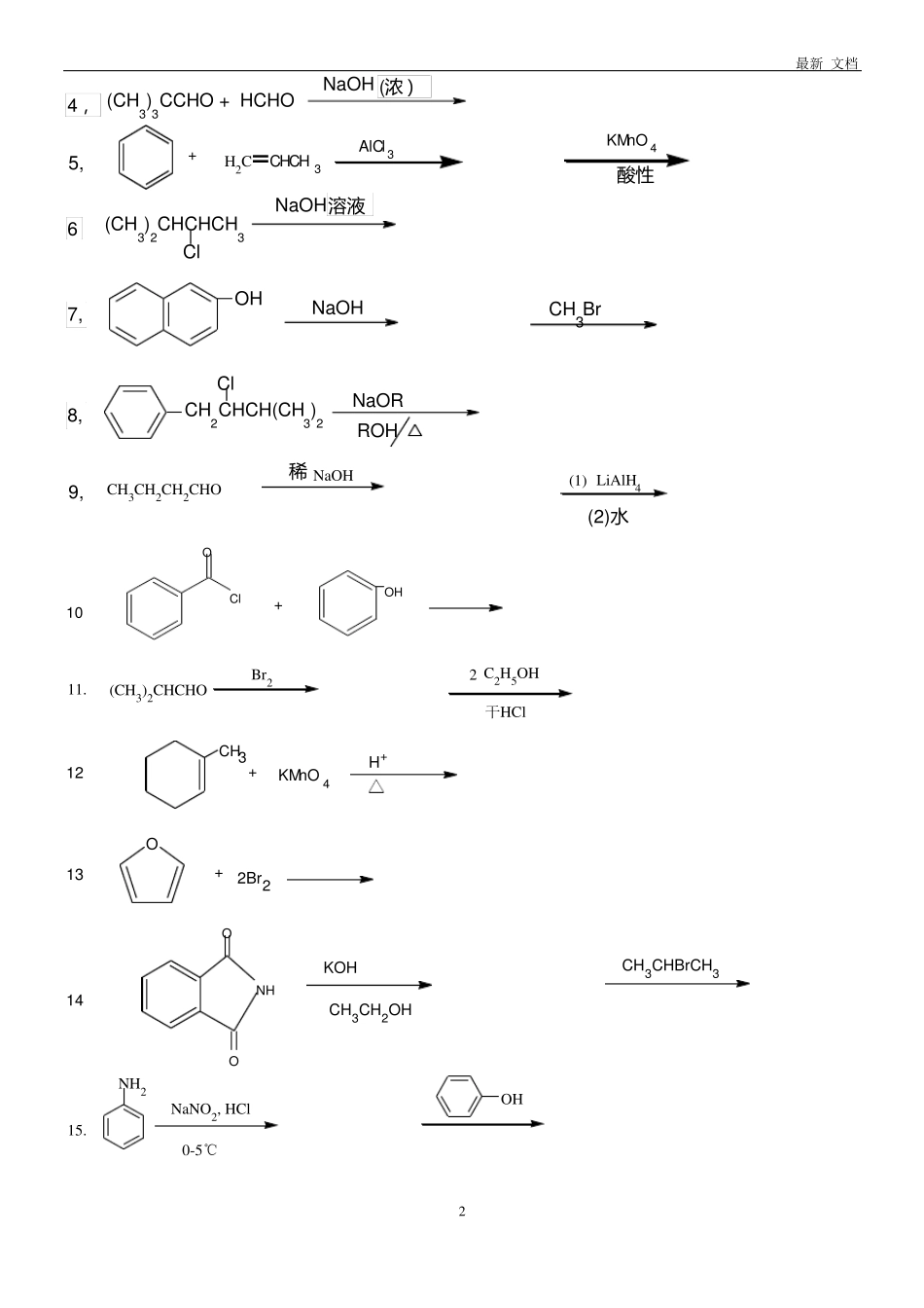
最新文档一:命名下列化合物或写出其结构:(10)CH3H3C1CH3H3CONHCH32O3CH3CH34,CH3SO3HH3C5CH36,BrCHCH2COOHCH3OH7,NO28HBrCH3OHCH3CH3COOH910.CH3O二:完成下列反应(30)1,CH3CH2C=CH2Br2NaCl溶液CH32,+高温Cl23,OCH2CH3浓H2SO41最新文档4,(CH3)3CCHO+HCHONaOH(浓)AlCl3KMnO45,6+ClH2CCHCH3酸性(CH3)2CHCHCH3NaOH溶液7,OHNaOHCH3Br8,ClCH2CHCH(CH3)2NaORROH(1)LiAlH49,CH3CH2CH2CHONaOH稀(2)水OOHCl10+Br211.(CH3)2CHCHO2C2H5OH干HClCH312+OKMnO4H+13+2Br2OKOH14NHCH3CHBrCH3CH3CH2OHOOHNH2NaNO2,HCl15.0-5℃2最新文档三:排序(10)1.将下列化合物对亲电取代反应的容易程度排列成序OHCHOBr2.比较下列醇与卢卡氏试剂反应的相对速率的大小CH2OHCH3H3COHCH3H3CCH3OHO3.将下列化合物中羰基与同一亲核试剂加成反应的活性大小排列成序CH3H3CCHOH3CCHOH3CCH34.比较下列羧酸的酸性COOHCOOHCOOHCOOHOCH3NO2HCl5.比较下列卤代烃按SN2反应的速度大小CH3CH3CH2CH2CH2Br(CH3)3CBrCH3CH2CHBr四、区别下列各组化合物:(6)CH31H3CH3CCHH3CCH32苯甲醛苯甲酮3-己酮五用化学方法分离下列各组化合物(6)1OHCH2OH2乙醚乙烷六用指定的原料合成下列各化合物(小分子试剂任选)(20)1.以丙烯为主要原料合成1-氯-2,3-二溴丙烷2.甲苯为原料合成:4-硝基-2-溴苯甲酸3最新文档CH3CH3OH3.六个碳原子以下的有机物合成:4CH2(CO2C2H5)2COOH七、简要回答问题(18分)1用R/S标度法标出下列化合物的构型:C6H13HOH(A)CH3C6H13HBrC6H13C2H5ONaBrCH3(B)HHC2H5CH3(C)CH32H3CCH3CH3和H3CCH3C(CH3)3(A)(1)哪个化合物是手性分子?(2)写出手性分子的稳定构象式。(B)3.有三种液体物质,分子式为C4H10O,其中两种在室温下不与卢卡氏试剂起反应,但经K2Cr2O7/H2SO4(稀)氧化,最后得到两种羧酸。另一种则很快与卢卡氏试剂起反应生成2-氯-2-甲基丙烷。试写出这三种有机物质的结构式及变化过程。4最新文档参考答案一:命名1.(E)-5-甲基-2-庚烯2.N-(2-甲基苯基)乙酰胺3.甲基环戊基(甲)酮4.6-甲基-2-萘磺酸5.8,8-二甲基-1-溴双环[3.2.1]辛烷6.3-苯基丁酸7.2-甲基-5-硝基苯酚8.(2S)-3-甲基-3-溴-2-丁醇9.3-呋喃甲酸10.9-甲基螺[3,5]-5-壬烯二:完成反应1.H3CBrCHBr2CH3+ClH3CCH3CH2Br2.ClSO3H3.OCH2CH34.(CH3)3CCH2OHCH3+HCOOHOCH2CH3SO3H+COOH5.CH3OHCH3CH36.H3CONaOCH37.8.CH3CH39.H3CCHOH3CCH3CH2OHOOCH310.5最新文档H3C11.BrCHOH3CH3CBrOCH2CH3OCH2CH312.H3CCH3OCOOH13.BrBrOOO+14.NKCH3NCH3OOOH15.N2ClNN三:排序OHBrCHO1.>>>H3CCH2OH2.>H3CH3CCH3CH3OH>H3COHO3.H3CCHOCOOH>H3CCHOCOOH>H3CCOOHCH3COOH4.>NO2Cl>>OCH35.H3CCH3CH2Br>H3CBr>(CH3)3CBr四:区别化合物1.先用tollens试剂鉴别出炔烃,然后再用溴的CCl4溶液鉴别出烯烃2.先用tollens试剂鉴别出苯甲醛,然后用碘仿反应鉴别出苯甲酮6最新文档五:分离1.加入NaOH溶液,油层为苯甲醇,然后萃取。向水相通入CO2,苯酚析出。2.把混合物通入浓硫酸,乙醚可以溶解与浓酸中,而乙醚不溶解六:合成1.(1)H3CCH2++CL2500oCClCH2(2)ClCH2Br2CCl4ClBrCH3BrCH3CH3NO22.(1)+CH3HNO3H2SO4+NO2CH3(2)NO2CH3Br+Br2FeBr3BrNO2COOH(3)NO2KMnO4H+Br3.OHNO2Br(1)++PBr3(2)BrMgMgBrCH3(3)MgBr+H2OH3CCH3OHCH37最新文档4.(1)CH2(COOCH2CH3)2_CH(COOCH2CH3)2RONa_CH(COOCH2CH3)2CH(COOCH2CH3)2CH2Br(2)+BrCH2CH2Br(3)CH(COOCH2CH3)2CH2BrRONaCOOCH2CH3COOCH2CH3H2OH+COOH七:回答问题1.RSS2.B是手性分子,优势构像:CH3H3C3.A.CH3CH2CH2CH2OHH3CB.H3CCH2OHC(CH3)3C.(CH3)3COH8

1、当您付费下载文档后,您只拥有了使用权限,并不意味着购买了版权,文档只能用于自身使用,不得用于其他商业用途(如 [转卖]进行直接盈利或[编辑后售卖]进行间接盈利)。
2、本站所有内容均由合作方或网友上传,本站不对文档的完整性、权威性及其观点立场正确性做任何保证或承诺!文档内容仅供研究参考,付费前请自行鉴别。
3、如文档内容存在违规,或者侵犯商业秘密、侵犯著作权等,请点击“违规举报”。

碎片内容

2020年南京工业大学有机化学期末试卷

确认删除?
VIP
微信客服
  • 扫码咨询
会员Q群
  • 会员专属群点击这里加入QQ群
客服邮箱
回到顶部