电脑桌面
添加小米粒文库到电脑桌面
安装后可以在桌面快捷访问

变量类型与统计分析对应表如下VIP免费

变量类型与统计分析对应表如下_第1页
1/15
变量类型与统计分析对应表如下_第2页
2/15
变量类型与统计分析对应表如下_第3页
3/15
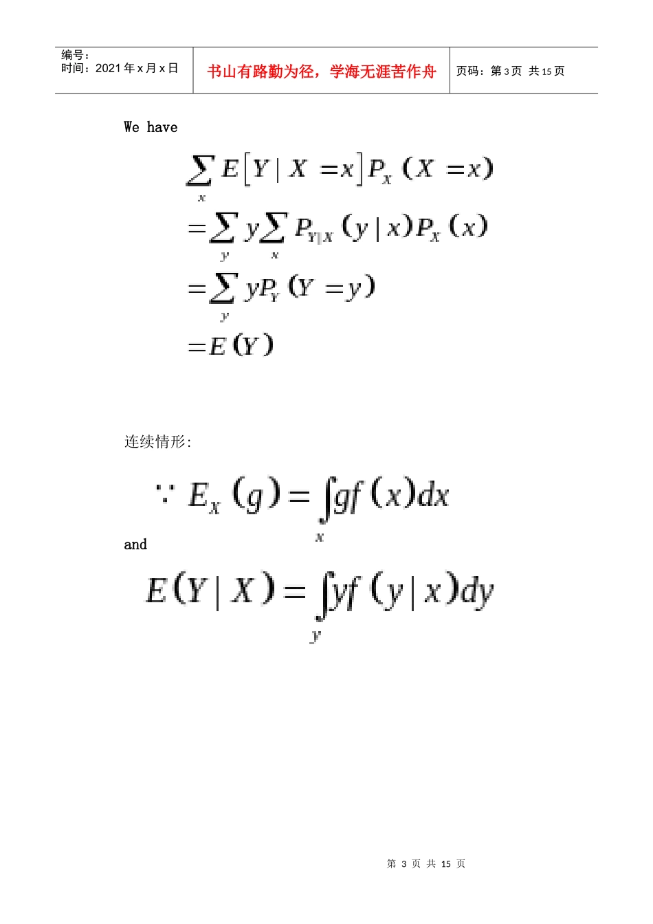
第1页共15页编号:时间:2021年x月x日书山有路勤为径,学海无涯苦作舟页码:第1页共15页变量类型与统计分析对应表如下:条件期望与条件方差在正式进入计量经济学的学习之前,需要对条件期望以及条件方差熟练掌握,它们将在以后的学习中经常遇到。一、条件期望1、条件均值的定义条件均值的定义为:第2页共15页第1页共15页编号:时间:2021年x月x日书山有路勤为径,学海无涯苦作舟页码:第2页共15页应当指出的是,条件期望是谁的函数?2、条件期望的性质条件均值有几个简单而有用的性质:(1)迭代期望律(LawofIteratedexpectations,LIE)条件期望的期望等于无条件期望:其中,记号表示关于x值的期望。Proof:离散情形:Weneedtoshow:Where.第3页共15页第2页共15页编号:时间:2021年x月x日书山有路勤为径,学海无涯苦作舟页码:第3页共15页Wehave连续情形:and第4页共15页第3页共15页编号:时间:2021年x月x日书山有路勤为径,学海无涯苦作舟页码:第4页共15页迭代期望律的一般表述方式其中,,是的子集,为非随机函数。特例:另外,也成立。Smaller-fieldalwayswin!!第5页共15页第4页共15页编号:时间:2021年x月x日书山有路勤为径,学海无涯苦作舟页码:第5页共15页(2)(3)(4)更为一般的情形:设,为的标量函数,为随机变量,那么:(5)对于任何二元变量的分布,证明:第6页共15页第5页共15页编号:时间:2021年x月x日书山有路勤为径,学海无涯苦作舟页码:第6页共15页从这个公式中,我们需要理解线性回归中的两个古典假设:由此零均值假定(在给定的条件下,的条件均值为零)与随机扰动项与解释变量不相关的假定在某种意义下等价,这将在以后的学习中经常提及。二、条件方差1、条件方差的定义条件方差的定义为:它的简化公式为:可认为是:分组条件下的集中程度的度量,或者,分组条件下的差异程度的度量。同理,条件期望为总体分组条件下的分门别类地求期望。第7页共15页第6页共15页编号:时间:2021年x月x日书山有路勤为径,学海无涯苦作舟页码:第7页共15页2、条件方差的性质(1)(2)一个重要的方差分解定理:它表示,在一个二元分布中,y的方差可分解为条件期望的方差加上条件方差的期望。将此式变形即可得到:它表示从平均意义上看,在条件约束下,条件化减少了变量的方差。y的条件方差不大于y的无条件方差。现在我们来证明证明:第8页共15页第7页共15页编号:时间:2021年x月x日书山有路勤为径,学海无涯苦作舟页码:第8页共15页(3)证明:利用性质:,则:右边第一项为右边第二项为所以小结:1、方差分解定理可以表述为:第9页共15页第8页共15页编号:时间:2021年x月x日书山有路勤为径,学海无涯苦作舟页码:第9页共15页在方差分解定理的公式中,是的方差,也就是回归式中的总离差平方和TSS。条件期望的方差是回归式中的回归平方和ESS;条件方差的期望是回归的残差平方和RSS。2、依据方差分解定理,可以构造R2统计量:3、对方差分解定理进行简单的扩展,得到如下的表达式:两边取期望,由迭代期望定理得到:由于回归方程的总离差平方和TSS是不变的,因此,上式说明,在回归式中增加新的变量会使得可决系数增大。古典假设与最小二乘一、背景第10页共15页第9页共15页编号:时间:2021年x月x日书山有路勤为径,学海无涯苦作舟页码:第10页共15页本部分开始我们正式进入计量经济学的学习。在计量经济学中,我们考察经济变量之间的相互关系,最基本的方法是回归分析。回归分析是计量经济学的主要工具,也是计量经济学理论和方法的主要内容。本部分从多元回归模型入手,对古典假设进行学习,然后就最小二乘估计法的算法、双残差回归和模型拟合优度的一些问题进行探讨。二、知识要点1、回归模型2、古典假设3、最小二乘法4、双残差回归5、方差分解和拟合优度三、要点细纲1、回归模型一般的,我们可以将回归模型写为条件期望和随机扰动项的和,即:。第11页共15页第10页共15页编号:时间:2021年x月x日书山有路勤为径,学海无涯苦作舟页码:第11页共15页当取不同的形式时,也就构成了不同的模型,包括:线性、非线性和非参数等。我们这里所学习的是线性模型(一元或多元):,...

1、当您付费下载文档后,您只拥有了使用权限,并不意味着购买了版权,文档只能用于自身使用,不得用于其他商业用途(如 [转卖]进行直接盈利或[编辑后售卖]进行间接盈利)。
2、本站所有内容均由合作方或网友上传,本站不对文档的完整性、权威性及其观点立场正确性做任何保证或承诺!文档内容仅供研究参考,付费前请自行鉴别。
3、如文档内容存在违规,或者侵犯商业秘密、侵犯著作权等,请点击“违规举报”。

碎片内容

变量类型与统计分析对应表如下

精品中小学资料+ 关注
实名认证
内容提供者

精品文档

确认删除?
VIP
微信客服
  • 扫码咨询
会员Q群
  • 会员专属群点击这里加入QQ群
客服邮箱
回到顶部