电脑桌面
添加小米粒文库到电脑桌面
安装后可以在桌面快捷访问

【2013备考】高考数学各地名校试题解析分类汇编(一)5 三角4 理VIP免费

【2013备考】高考数学各地名校试题解析分类汇编(一)5 三角4 理_第1页
1/13
【2013备考】高考数学各地名校试题解析分类汇编(一)5 三角4 理_第2页
2/13
【2013备考】高考数学各地名校试题解析分类汇编(一)5 三角4 理_第3页
3/13
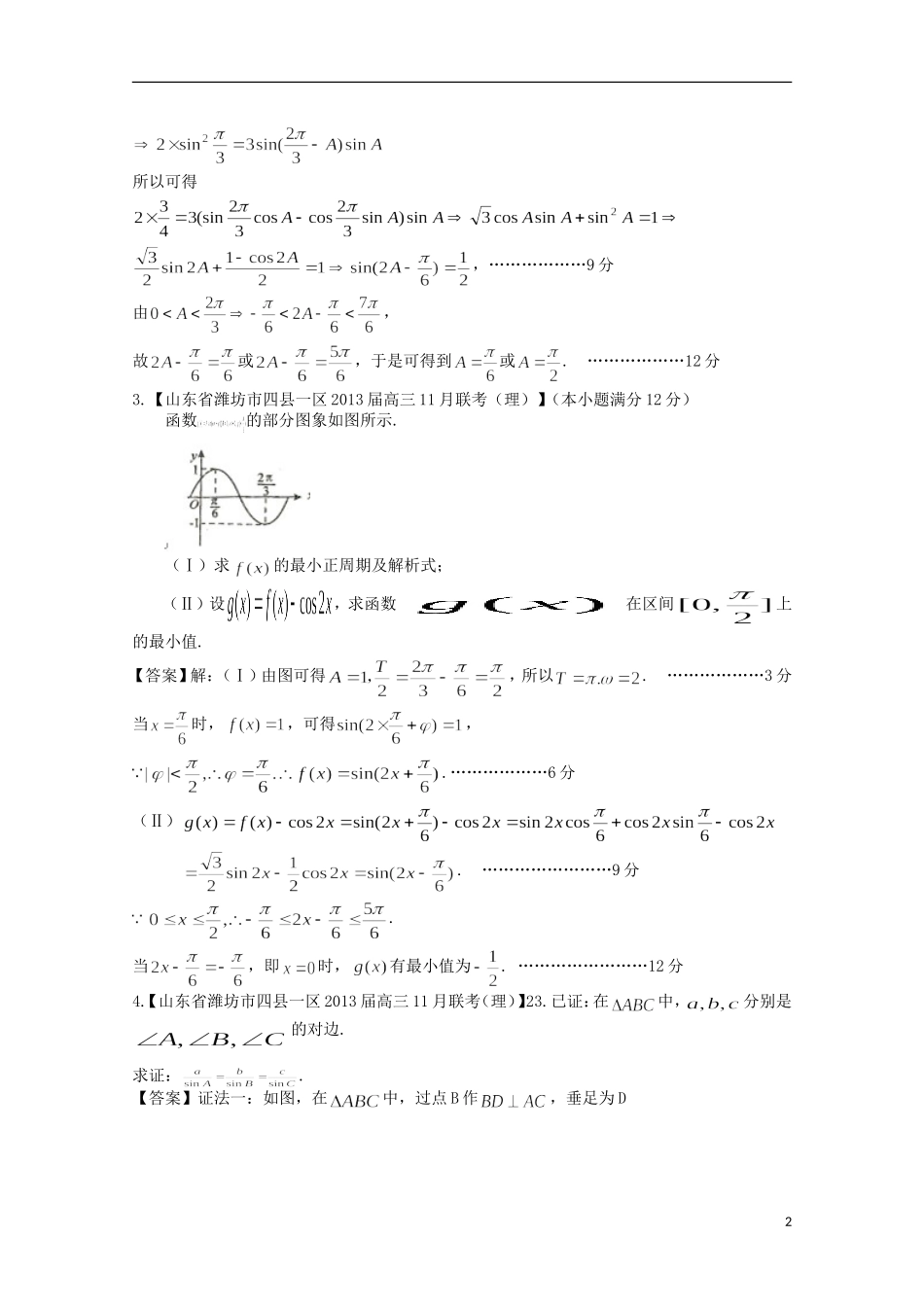
各地解析分类汇编:三角函数41.【云南省玉溪一中2013届高三上学期期中考试理】(本小题满分12分)已知函数(Ⅰ)当时,求函数的最小值和最大值;(Ⅱ)设的内角的对应边分别为,且,若向量与向量共线,求的值。【答案】。 ,∴,∴,从而。则的最小值是,最大值是。(2),则, ,∴,∴,解得。 向量与向量共线,∴,由正弦定理得,①由余弦定理得,,即②由①②解得。2.【山东省潍坊市四县一区2013届高三11月联考(理)】(本小题满分12分)中,内角A、B、C成等差数列,其对边满足,求A.【答案】解:由成等差数列可得,而,故,且.………………3分而由与正弦定理可得…………5分1所以可得,………………9分由,故或,于是可得到或.………………12分3.【山东省潍坊市四县一区2013届高三11月联考(理)】(本小题满分12分)函数的部分图象如图所示.(Ⅰ)求的最小正周期及解析式;(Ⅱ)设,求函数在区间上的最小值.【答案】解:(Ⅰ)由图可得,所以.………………3分当时,,可得,.………………6分(Ⅱ).……………………9分.当,即时,有最小值为.……………………12分4.【山东省潍坊市四县一区2013届高三11月联考(理)】23.已证:在中,分别是的对边.求证:.【答案】证法一:如图,在中,过点B作,垂足为D2,,…………………………2分即,………………4分同理可证,.……………………5分证法二:如图,在中,过点B作,垂足为D…………………………2分,………………………………4分,同理可证,.……………………5分5.【山东省烟台市2013届高三上学期期中考试理】本小题满分12分)已知.(1)求函数的最小正周期;(2)当,求函数的零点.【答案】解:(1)=,………4分故………5分3(2)令,=0,又,………8分,………9分故,函数的零点是.………12分6.【山东省烟台市2013届高三上学期期中考试理】(本小题满分12分)已知向量m=,n=,函数=mn.(1)求函数()fx的对称中心;(2)在ABC中,分别是角A,B,C的对边,且,,且,求的值.【答案】(1),………2分.………4分令得,,∴函数()fx的对称中心为.………5分(2),,C是三角形内角,∴即:………7分即:.………9分将代入可得:,解之得:或4,,………11分………12分7.【山东省实验中学2013届高三第三次诊断性测试理】(本小题满分12分)设函数.4(Ⅰ)写出函数的最小正周期及单调递减区间;(Ⅱ)当时,函数的最大值与最小值的和为,求的解析式;(Ⅲ)将满足(Ⅱ)的函数的图像向右平移个单位,纵坐标不变横坐标变为原来的2倍,再向下平移,得到函数,求图像与轴的正半轴、直线所围成图形的面积。【答案】解(Ⅰ),(2分)∴.由,得.故函数的单调递减区间是.(6分)(2).当时,原函数的最大值与最小值的和,.(8分)(3)由题意知(10分)=1(12分)8.【山东省泰安市2013届高三上学期期中考试数学理】(本小题满分12分)已知a,b,c分别为△ABC的三个内角A,B,C的对边,3,sin,cos,1mAnA�,且mn�.(1)求角A的大小;(II)若2,aABC的面积为3,求b,c.【答案】59.【云南省玉溪一中2013届高三第三次月考理】(本小题满分12分)如图是单位圆上的动点,且分别在第一,二象限.是圆与轴正半轴的交点,为正三角形.若点的坐标为.记.(1)若点的坐标为,求的值;(2)求的取值范围.【答案】解:(Ⅰ)因为A点的坐标为,根据三角函数定义可知,,得,.................................2分所以=..........................5分(Ⅱ)因为三角形AOB为正三角形,所以,所以6==...............................6分所以=.........7分,,即,.................................9分.................................10分10.【天津市天津一中2013届高三上学期一月考理】已知A(cosα,sinα),B(cosβ,sinβ),且|AB|=2,(1)求cos(α-β)的值;(2)设α∈(0,π/2),β∈(-π/2,0),且cos(5π/2-β)=-5/13,求sinα的值.【答案】解:(1)由题知,所以(2),又.而则11.【天津市天津一中2013届高三上学期一月考理】已知函数f(x)=2cosxsin(x+π/3)-sin2x+snxcosx(1)求函数f(x)的单调递减区间;(2)将函数f(x)的图象沿水平方向平移m个单位...

1、当您付费下载文档后,您只拥有了使用权限,并不意味着购买了版权,文档只能用于自身使用,不得用于其他商业用途(如 [转卖]进行直接盈利或[编辑后售卖]进行间接盈利)。
2、本站所有内容均由合作方或网友上传,本站不对文档的完整性、权威性及其观点立场正确性做任何保证或承诺!文档内容仅供研究参考,付费前请自行鉴别。
3、如文档内容存在违规,或者侵犯商业秘密、侵犯著作权等,请点击“违规举报”。

碎片内容

【2013备考】高考数学各地名校试题解析分类汇编(一)5 三角4 理

您可能关注的文档

教育教学文库+ 关注
实名认证
内容提供者

本店有大量的教育教学资料,课件

确认删除?
VIP
微信客服
  • 扫码咨询
会员Q群
  • 会员专属群点击这里加入QQ群
客服邮箱
回到顶部