电脑桌面
添加小米粒文库到电脑桌面
安装后可以在桌面快捷访问

北京四中高考数学总复习 等差、等比数列前n项和巩固练习VIP免费

北京四中高考数学总复习 等差、等比数列前n项和巩固练习_第1页
1/3
北京四中高考数学总复习 等差、等比数列前n项和巩固练习_第2页
2/3
北京四中高考数学总复习 等差、等比数列前n项和巩固练习_第3页
3/3
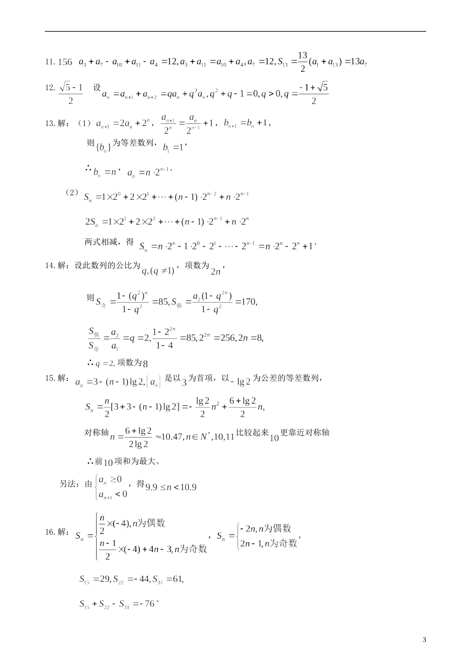
北京四中高考数学总复习等差、等比数列前n项和巩固练习1.在等差数列中,若,则的值为()A.B.C.D.2.在等比数列中,若,且,则为()A.B.C.D.或或3.在等差数列中,,则为()A.B.C.D.4.已知等差数列项和为等于()A.B.C.D.5.数列的通项公式,则该数列的前()项之和等于。A.B.C.D.6.等差数列,的前项和分别为,,若,则=()A.B.C.D.7.已知数列中,,,则数列通项___________。8.已知数列的前n项和,则=_____________。9.三个不同的实数成等差数列,且成等比数列,则_________。10.在等差数列中,公差,前项的和,则=_____________。11.若等差数列中,则12.一个等比数列各项均为正数,且它的任何一项都等于它的后面两项的和,则公比为_______________。13.在数列中,,.(Ⅰ)设,证明:数列是等差数列;(Ⅱ)求数列的前项和.14.一个有穷等比数列的首项为,项数为偶数,如果其奇数项的和为,偶数项的和为,求此数列的公比和项数。15.数列…的前多少项和为最大?16.已知数列的前项和,求的值。【参考答案与解析】11.A而成等差数列即2.D,当时,;当时,;当时,;3.C,4.C5.B6.B7.是以为首项,以为公差的等差数列,8.9.10.211.12.设13.解:(1),,,则为等差数列,,∴,.(2)两式相减,得.14.解:设此数列的公比为,项数为,则∴项数为15.解:是以为首项,以为公差的等差数列,对称轴比较起来更靠近对称轴∴前项和为最大。另法:由,得16.解:。3

1、当您付费下载文档后,您只拥有了使用权限,并不意味着购买了版权,文档只能用于自身使用,不得用于其他商业用途(如 [转卖]进行直接盈利或[编辑后售卖]进行间接盈利)。
2、本站所有内容均由合作方或网友上传,本站不对文档的完整性、权威性及其观点立场正确性做任何保证或承诺!文档内容仅供研究参考,付费前请自行鉴别。
3、如文档内容存在违规,或者侵犯商业秘密、侵犯著作权等,请点击“违规举报”。

碎片内容

北京四中高考数学总复习 等差、等比数列前n项和巩固练习

您可能关注的文档

雨丝书吧+ 关注
实名认证
内容提供者

乐于和他人分享知识,从事历史教学,热爱教育,高度负责。

相关文档

确认删除?
VIP
微信客服
  • 扫码咨询
会员Q群
  • 会员专属群点击这里加入QQ群
客服邮箱
回到顶部