电脑桌面
添加小米粒文库到电脑桌面
安装后可以在桌面快捷访问

北京四中高考数学总复习 基本不等式基础巩固练习VIP免费

北京四中高考数学总复习 基本不等式基础巩固练习_第1页
1/3
北京四中高考数学总复习 基本不等式基础巩固练习_第2页
2/3
北京四中高考数学总复习 基本不等式基础巩固练习_第3页
3/3
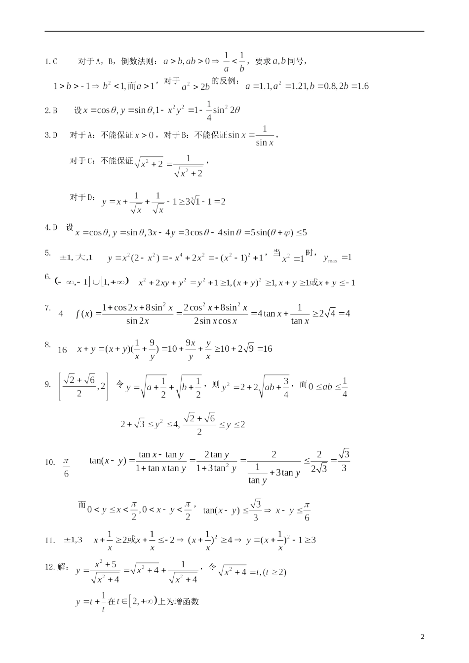
北京四中高考数学总复习基本不等式基础巩固练习1.设,则下列不等式中恒成立的是()A.B.C.D.2.如果实数满足,则有()A.最小值和最大值1B.最大值1和最小值C.最小值而无最大值D.最大值1而无最小值3.下列各函数中,最小值为的是()A.B.,C.D.4.如果,则的最大值是()A.B.C.D.5.当______时,函数有最_______值,且最值是_________。6.设实数满足,则的取值范围是___________。7.当时,函数的最小值是________。8.设且,则的最小值为________.9.已知,则的范围是____________。10.若且则的最大值为________.11.设,则函数在=________时,有最小值__________。12.函数的最小值为多少?13.已知函数的最大值为,最小值为,求此函数式。14.已知△ABC的三边长是,且为正数,求证:。【参考答案与解析】11.C对于A,B,倒数法则:,要求同号,,对于的反例:2.B设3.D对于A:不能保证,对于B:不能保证,对于C:不能保证,对于D:4.D设5.,当时,6.7.8.9.令,则,而10.而,11.12.解:,令在上为增函数2当时,13.解:显然可以成立,当时,方程必然有实数根,即是方程的两个实数根则14.证明:设,易知是的递增区间,即而.3

1、当您付费下载文档后,您只拥有了使用权限,并不意味着购买了版权,文档只能用于自身使用,不得用于其他商业用途(如 [转卖]进行直接盈利或[编辑后售卖]进行间接盈利)。
2、本站所有内容均由合作方或网友上传,本站不对文档的完整性、权威性及其观点立场正确性做任何保证或承诺!文档内容仅供研究参考,付费前请自行鉴别。
3、如文档内容存在违规,或者侵犯商业秘密、侵犯著作权等,请点击“违规举报”。

碎片内容

北京四中高考数学总复习 基本不等式基础巩固练习

雨丝书吧+ 关注
实名认证
内容提供者

乐于和他人分享知识,从事历史教学,热爱教育,高度负责。

确认删除?
VIP
微信客服
  • 扫码咨询
会员Q群
  • 会员专属群点击这里加入QQ群
客服邮箱
回到顶部