电脑桌面
添加小米粒文库到电脑桌面
安装后可以在桌面快捷访问

北京四中高中数学 两角差的余弦公式提高巩固练习 新人教A版必修1VIP免费

北京四中高中数学 两角差的余弦公式提高巩固练习 新人教A版必修1_第1页
1/5
北京四中高中数学 两角差的余弦公式提高巩固练习 新人教A版必修1_第2页
2/5
北京四中高中数学 两角差的余弦公式提高巩固练习 新人教A版必修1_第3页
3/5
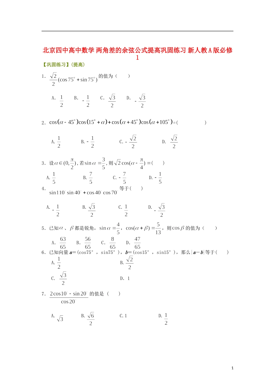
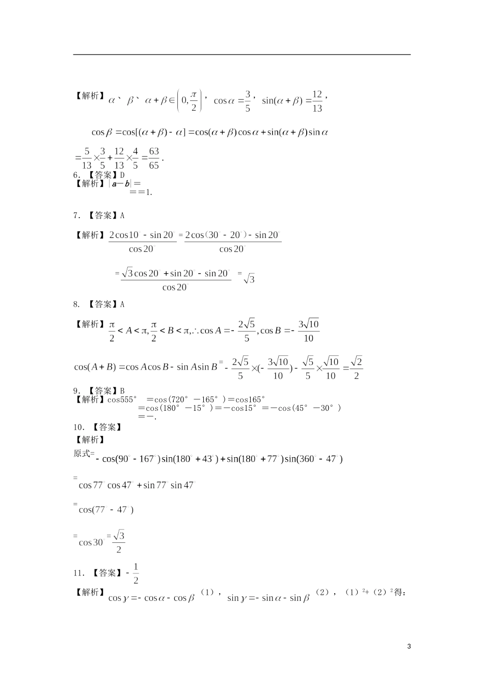
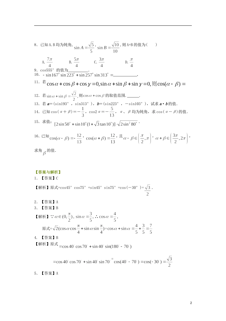
北京四中高中数学两角差的余弦公式提高巩固练习新人教A版必修1【巩固练习】(提高)1.的值为()A.B.C.D.2.=()A.B.C.D.3.设,若,则()A.B.C.D.4.等于()A.B.C.D.5.已知、都是锐角,,,则的值为()A.B.C.D.6.已知向量a=(cos75°,sin75°),b=(cos15°,sin15°),那么|a-b|等于()A.B.C.D.17.的值是()A.B.C.1D.18.已知A.B均为钝角,,,则A+B的值为()A.B.C.D.9.cos555°的值为.10..11.若12.若则的取值范围..13.若a=(sin193°,sin313°),b=(sin223°,-sin103°),试求a·b的值.14.已知cos(α+β)=-,cos2α=-,α、β均为钝角,求cos(α-β)的值.15.求值:.16.已知,,且,,求角的值.【答案与解析】1.【答案】C【解析】原式=cos45°cos75°+sin45°sin75°=cos(-30°)=.2.【答案】A3.【答案】B【解析】∵,,∴,原式==4.【答案】B【解析】原式=5.【答案】A2【解析】、、,,,.6.【答案】D【解析】|a-b|===1.7.【答案】A【解析】===8.【答案】A【解析】=9.【答案】B【解析】cos555°=cos(720°-165°)=cos165°=cos(180°-15°)=-cos15°=-cos(45°-30°)=-.10.【答案】【解析】原式=====11.【答案】【解析】(1),(2),(1)2+(2)2得:3.12.【答案】【解析】令,则13.【解析】a·b=(sin193°,sin313°)·(sin223°,-sin103°)=sin193°·sin223°-sin313°sin103°=sin(180°+13°)·sin(180°+43°)-sin(360°-47°)·sin(180°-77°)=sin13°sin43°+sin47°sin77°=sin13°sin43°+cos43°cos13°=cos(43°-13°)=cos30°=.14.【解析】∵α、β∈(90°,180°),∴α+β∈(180°,360°),2α∈(180°,360°).∵cos(α+β)=-<0,cos2α=-<0.∴α+β∈(180°,270°),2α∈(180°,270°).∴sin(α+β)=-=-=-,sin2α=-=-=-.∴cos(α-β)=cos[2α-(α+β)]=cos2αcos(α+β)+sin2αsin(α+β)=(-)×(-)+(-)×(-)=.15.【解析】原式4.16.【解析】由且,得.又由,且,得..又∵,.∴,则.5

1、当您付费下载文档后,您只拥有了使用权限,并不意味着购买了版权,文档只能用于自身使用,不得用于其他商业用途(如 [转卖]进行直接盈利或[编辑后售卖]进行间接盈利)。
2、本站所有内容均由合作方或网友上传,本站不对文档的完整性、权威性及其观点立场正确性做任何保证或承诺!文档内容仅供研究参考,付费前请自行鉴别。
3、如文档内容存在违规,或者侵犯商业秘密、侵犯著作权等,请点击“违规举报”。

碎片内容

北京四中高中数学 两角差的余弦公式提高巩固练习 新人教A版必修1

您可能关注的文档

雨丝书吧+ 关注
实名认证
内容提供者

乐于和他人分享知识,从事历史教学,热爱教育,高度负责。

确认删除?
VIP
微信客服
  • 扫码咨询
会员Q群
  • 会员专属群点击这里加入QQ群
客服邮箱
回到顶部