电脑桌面
添加小米粒文库到电脑桌面
安装后可以在桌面快捷访问

二次根式运算专项练习VIP免费

二次根式运算专项练习_第1页
1/4
二次根式运算专项练习_第2页
2/4
二次根式运算专项练习_第3页
3/4
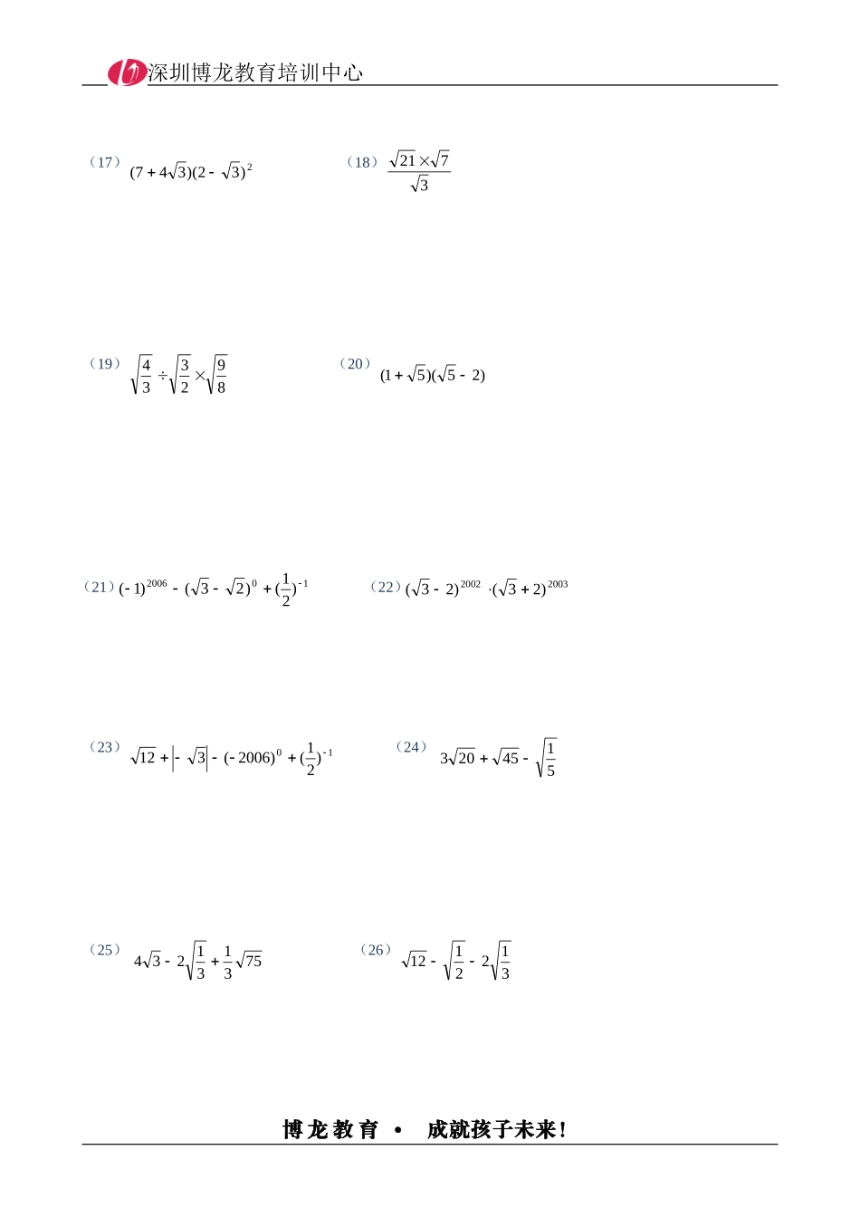
深圳博龙教育培训中心二次根式练习【知识点扫描】ლ(^o^ლ)1、二次根式式子)0(aa叫做二次根式,二次根式必须满足:含有二次根号“”;被开方数a必须是非负数。2、最简二次根式若二次根式满足:被开方数的因数是整数,因式是整式;被开方数中不含能开得尽方的因数或因式,这样的二次根式叫做最简二次根式。化二次根式为最简二次根式的方法和步骤:(1)如果被开方数是分数(包括小数)或分式,先利用商的算数平方根的性质把它写成分式的形式,然后利用分母有理化进行化简。(2)如果被开方数是整数或整式,先将他们分解因数或因式,然后把能开得尽方的因数或因式开出来。3、同类二次根式几个二次根式化成最简二次根式以后,如果被开方数相同,这几个二次根式叫做同类二次根式。4、二次根式的性质(1))0()(2aaa)0(aa(2)aa2)0(aa(3))0,0(babaab(4))0,0(bababa5、二次根式混合运算二次根式的混合运算与实数中的运算顺序一样,先乘方,再乘除,最后加减,有括号的先算括号里的(或先去括号)。【沙场练兵】╰_╯(1)325(2)3681(3)25.004.0(4)326博龙教育•成就孩子未来!深圳博龙教育培训中心(5)121436.0(6)36(7)4327(8)48122(9)3823250(10)2)13((11)48512739(12)250580(13)2)231((14)325092(15)1215.09002.0(16)2)313(博龙教育•成就孩子未来!深圳博龙教育培训中心(17)2)32)(347((18)3721(19)892334(20))25)(51((21)102006)21()23()1((22)20032002)23()23((23)10)21()2006(312(24)5145203(25)753131234(26)3122112博龙教育•成就孩子未来!深圳博龙教育培训中心(27)75.0125.204112484(28)22)52()2511((29)02)36(2218)3((30)75.04216122118(31)3333222271912105(32)101252403(33)20)21(821)73(4博龙教育•成就孩子未来!

1、当您付费下载文档后,您只拥有了使用权限,并不意味着购买了版权,文档只能用于自身使用,不得用于其他商业用途(如 [转卖]进行直接盈利或[编辑后售卖]进行间接盈利)。
2、本站所有内容均由合作方或网友上传,本站不对文档的完整性、权威性及其观点立场正确性做任何保证或承诺!文档内容仅供研究参考,付费前请自行鉴别。
3、如文档内容存在违规,或者侵犯商业秘密、侵犯著作权等,请点击“违规举报”。

碎片内容

二次根式运算专项练习

您可能关注的文档

精品文库+ 关注
实名认证
内容提供者

中小学课件教案大全

相关文档

确认删除?
VIP
微信客服
  • 扫码咨询
会员Q群
  • 会员专属群点击这里加入QQ群
客服邮箱
回到顶部