电脑桌面
添加小米粒文库到电脑桌面
安装后可以在桌面快捷访问

(2)第二讲:分式VIP免费

(2)第二讲:分式_第1页
1/4
(2)第二讲:分式_第2页
2/4
(2)第二讲:分式_第3页
3/4
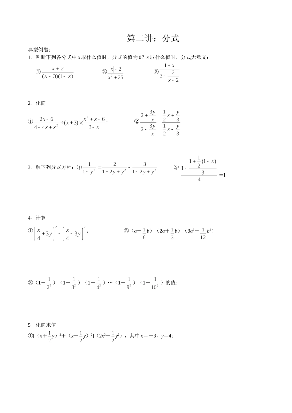
第二讲:分式典型例题:1、判断下列各分式中x取什么值时,分式的值为0?x取什么值时,分式无意义:①②③2、化简①;②3、解下列分式方程:①②4、计算①;②(a-b)(2a+b)(3a2+b2)③(1-)(1-)(1-)…(1-)(1-)的值;5、化简求值①[(x+y)2+(x-y)2](2x2-y2),其中x=-3,y=4;②其中x=-26、解答题①已知x+=2,求x2+,x4+的值.②已知(a-1)(b-2)-a(b-3)=3,求代数式-ab的值;7、应用题:车间有甲、乙两个小组,甲组的工作率比乙组的高25%,因此甲组加工2000个零件所用的时间比乙组加工1800个零件所用的时间还少30分钟,问两组每小时各加工多少零件?8、京津城际铁路将于2008年8月1日开通运营,预计高速列车在北京、天津间单程直达运行时间为半小时.某次试车时,试验列车由北京到天津的行驶时间比预计时间多用了6分钟,由天津返回北京的行驶时间与预计时间相同.如果这次试车时,由天津返回北京比去天津时平均每小时多行驶40千米,那么这次试车时由北京到天津的平均速度是每小时多少千米?巩固练习一:选择题1、已知的值为()A、B、C、2D、2、已知,且a,b,c为正数,则下列四个点中在函数图象上的点的坐标()A、(1,)B、(1,-)C、(1,2)D、(1,-1)3、若为整数,则能使也为整数的的个数有()A、1个B、2个C、3个D、4个4、小明通常上学时走上坡路,途中平均速度为m千米/时,放学回家时,沿原路返回,通常的速度为n千米/时,则小明上学和放学路上的平均速度为()千米/时A、B、C、D、二:填空题5、若__________。6、已知为实数,且,设,,则的大小关系是;7、若关于x的分式方程3131xax在实数范围内无解,则实数a;8、定义一种运算:当时,;当时,,则方程的解是;9、非零实数x、y满足,则。10、若实数a满足方程,则=,其中表示不超过a的最大整数;三:解答题11、解方程12、若13、已知,求的值。14、先化简,再求值:÷,其中.15、已知aa269与||b1互为相反数,求代数式()42222222222ababababaabbababba的值;16、当时,求的值。17、设是不小于的实数,关于的方程有两个不相等的实数根、,(1)若,求r值;(2)求的最大值。18、一个批发兼零售的文具店规定:凡一次购买铅笔300枝以上,(不包括300枝),可以按批发价付款,购买300枝以下,(包括300枝)只能按零售价付款。小明来该店购买铅笔,如果给八年级学生每人购买1枝,那么只能按零售价付款,需用120元,如果多购买60枝,那么可以按批发价付款,同样需要120元。(1)这个八年级的学生总数在什么范围内?(2)若按批发价购买6枝与按零售价购买5枝的款相同,那么这个学校八年级学生有多少人?

1、当您付费下载文档后,您只拥有了使用权限,并不意味着购买了版权,文档只能用于自身使用,不得用于其他商业用途(如 [转卖]进行直接盈利或[编辑后售卖]进行间接盈利)。
2、本站所有内容均由合作方或网友上传,本站不对文档的完整性、权威性及其观点立场正确性做任何保证或承诺!文档内容仅供研究参考,付费前请自行鉴别。
3、如文档内容存在违规,或者侵犯商业秘密、侵犯著作权等,请点击“违规举报”。

碎片内容

(2)第二讲:分式

您可能关注的文档

百万精品文档+ 关注
实名认证
内容提供者

中小学学习资料教案课件

相关文档

相关标签

确认删除?
VIP
微信客服
  • 扫码咨询
会员Q群
  • 会员专属群点击这里加入QQ群
客服邮箱
回到顶部