电脑桌面
添加小米粒文库到电脑桌面
安装后可以在桌面快捷访问

2015第02章跨章综合中考题汇编VIP免费

2015第02章跨章综合中考题汇编_第1页
1/3
2015第02章跨章综合中考题汇编_第2页
2/3
2015第02章跨章综合中考题汇编_第3页
3/3
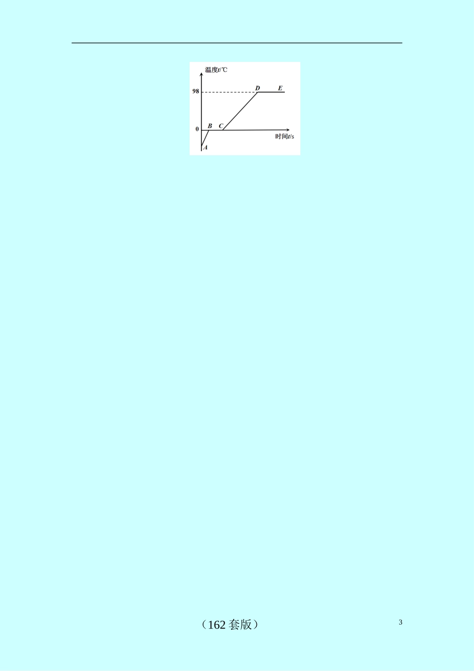
跨章综合类一、选择题(2015铁岭)1.端午节是我国的传统节日,有吃粽子的习俗。下面与粽子有关的说法中正确的是A.包粽子时,米粒之间有缝隙,说明分子间有间隙B.煮粽子时,锅上方冒出“白气”是汽化现象C.手上沾些水,刚拿出锅的粽子不烫手,利用了汽化吸热D.粽子放入冰箱冷冻一段时间,外表结了一层霜,这是凝固现象(2015广州)2.通过热传递,某物体从固态变为液态,如图所示是该过程物体的温度随时间变化图像.下列说法正确的是INCLUDEPICTURE"http://img.jyeoo.net/quiz/images/201506/135/7e8ab609.png"\*MERGEFORMATINETINCLUDEPICTURE"http://img.jyeoo.net/quiz/images/201506/135/7e8ab609.png"\*MERGEFORMATINETINCLUDEPICTURE"http://img.jyeoo.net/quiz/images/201506/135/7e8ab609.png"\*MERGEFORMATINETINCLUDEPICTURE"http://img.jyeoo.net/quiz/images/201506/135/7e8ab609.png"\*MERGEFORMATINETINCLUDEPICTURE"http://img.jyeoo.net/quiz/images/201506/135/7e8ab609.png"\*MERGEFORMATINETINCLUDEPICTURE"http://img.jyeoo.net/quiz/images/201506/135/7e8ab609.png"\*MERGEFORMATINETINCLUDEPICTURE"http://img.jyeoo.net/quiz/images/201506/135/7e8ab609.png"\*MERGEFORMATINETINCLUDEPICTURE"http://img.jyeoo.net/quiz/images/201506/135/7e8ab609.png"\*MERGEFORMATINETINCLUDEPICTURE"http://img.jyeoo.net/quiz/images/201506/135/7e8ab609.png"\*MERGEFORMATINETINCLUDEPICTURE"http://img.jyeoo.net/quiz/images/201506/135/7e8ab609.png"\*MERGEFORMATINETINCLUDEPICTURE"http://img.jyeoo.net/quiz/images/201506/135/7e8ab609.png"\*MERGEFORMATINETINCLUDEPICTURE"http://img.jyeoo.net/quiz/images/201506/135/7e8ab609.png"\*MERGEFORMATINETA.这是非晶体B.此过程是液化过程C.t=0时刻物体内能为零D.0-t1这段时间,物体要吸热(162套版)1(2015衡阳)3.下列现象中,用物理知识解释正确的是A.物体的温度高,是因为它具有较多的热量B.风吹过,人便感到凉爽,主要是因为流动的空气加快了人身上汗液的升华C.吃冰棒感觉凉爽,是因为熔化要吸热D.运载火箭的燃料采用液氢,是因为液氢的比热容大(2015北海)4.下面是小红的“物理笔记”部分摘录,其中不正确的是A.北海的春天,常出现墙壁“冒汗”是液化现象B.用水来冷却汽车发动机是因为水的比热容大C.夏天在地面上洒水会感到凉快,是利用了蒸发吸热D.衣柜里的樟脑丸变小了,属于凝华现象(2015天水)5.《舌尖上的中国2》聚焦于普通人的家常菜,让海内外观众领略了中华饮食之美.如图所示,通过煎、炒、蒸、拌烹调的四种美食中所包含的物理知识,认识正确的是A.煎:煎锅一般用铁制造,主要是利用了铁的比热容大B.炒:主要是通过做功的方式使藜蒿和腊肉的内能增加C.蒸:是通过热传递和高温水蒸气液化放热,使榆钱饭蒸熟D.拌:香葱和豆腐要拌着才能入味,说明分子没有做无规则运动二、填空题三、解答题(2015重庆B)6.小军同学用同一酒精灯加热探究冰熔化和水沸腾时温度的变化规律,如图所示是根据测量结果画出的图像,请你根据图中信息完成下列问题:(1)要完成这个实验,已准备有烧杯、酒精灯、铁架台、计时器,还需要的测量仪器是_______.(2)由图可知冰是____(选填“晶体”或“非晶体);水沸腾时的温度是____℃;且水在沸腾过程中不断吸收热量,而温度_____(选填“升高”、“降低”或“不变”).(3)从图中AB段与CD段的倾斜程度不同,可以判断冰的比热容____水的比热容(选填“大于”、“等于”或“小于”).(162套版)山东煎饼藜蒿炒腊肉蒸榆钱饭香葱拌豆腐2(162套版)3

1、当您付费下载文档后,您只拥有了使用权限,并不意味着购买了版权,文档只能用于自身使用,不得用于其他商业用途(如 [转卖]进行直接盈利或[编辑后售卖]进行间接盈利)。
2、本站所有内容均由合作方或网友上传,本站不对文档的完整性、权威性及其观点立场正确性做任何保证或承诺!文档内容仅供研究参考,付费前请自行鉴别。
3、如文档内容存在违规,或者侵犯商业秘密、侵犯著作权等,请点击“违规举报”。

碎片内容

2015第02章跨章综合中考题汇编

您可能关注的文档

确认删除?
VIP
微信客服
  • 扫码咨询
会员Q群
  • 会员专属群点击这里加入QQ群
客服邮箱
回到顶部