电脑桌面
添加小米粒文库到电脑桌面
安装后可以在桌面快捷访问

电子围栏安装规范VIP免费

电子围栏安装规范_第1页
1/10
电子围栏安装规范_第2页
2/10
电子围栏安装规范_第3页
3/10
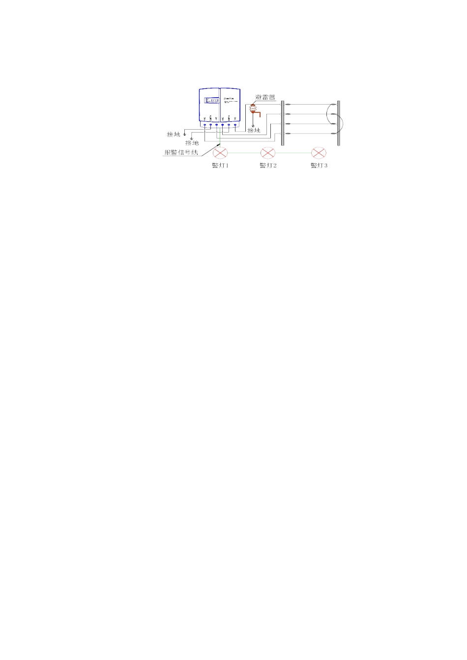
帕克顿电子围栏安装规范徐州小丰矿山科技有限公司2013年10月电子围栏由两部分组成:主机控制部分、前端围栏部分电子围栏系统原理图示注:①高压绝缘线⑤终端杆固定夹②终端杆⑥PV过线杆③合金导线⑦PV过线杆绝缘子④终端杆绝缘子⑧中间收紧器现场安装指导要点安装步骤要点1、工具准备以及工具的作用安装工具:电锤掏孔机各种螺丝刀老虎钳斜口钳锤子万用表另可能用电焊机,切割机,铆钉枪,铆钉(∮4×16,20)2、辅助材料尼龙扎带(固定警示牌用)小自攻螺丝(PV杆座固定用)玻璃胶电源线PV管□3、施工现场勘察与准备转角,落差,弧度,墙质,周遍环境等4、安装前的准备工作(1)、PV中间杆绝缘子的安装注意方向要一致,最上面一个尽量靠上但绝对不能超出杆端,由上及下中心间隔分别是18,18,18CM,最下面一根线离墙顶间距为15CM。(2)、承力杆绝缘子的安装适合于转角角度>90度的转角处,用铆钉把绝缘子铆好。(3)、终端杆绝缘子的安装可以事先装好,也可以固定好终端杆后再装,一定要注意终端杆绝缘子固定夹要装在远端的孔,将来合金线也从远端的孔穿过来,使合金线和终端杆绝缘子固定夹形成的拉力共同形成对终端杆绝缘子的压力,使得更加牢固和可靠。5、前端安装1)、终端杆的安装注意方向(因为是两侧90度拉线),垂直,牢固,特别是最下面的线离墙顶的距离为15CM这四个问题2)、承力杆的安装注意绝缘子朝向(与线张力的合力相反),垂直,牢固,最下面的线离墙顶的距离为15CM这四个问题3)、PV中间杆的安装注意绝缘子朝向是否正确(一般建议朝向外侧,也就是要防范的一侧),垂直,牢固,最下面的线离墙顶的距离为15CM这四个问题4)、放线5)、终端杆起点处的连接注意合金线从远端的孔穿过来,(特别注意收紧器是否装上,如果这一端没装上,不要紧,那在另一端可千万别忘了!!!)靠近绝缘子的近处用手紧密绕接,不低于5圈。6)、中间收紧器的装法从一侧的圆孔穿入,穿过中间的收紧槽(可适当转动手柄,方便穿过)再从一侧的圆孔穿出即可,尽量做到收紧器整齐,朝向一致,美观。7)、放线注意事项建议用一PV杆穿过合金线盘的孔放线,保证整齐,千万不要扭曲,不要伤线,预留长度适中,避免浪费,如果是转角处需要跨接的,可适当多留一些。调节线距,做到一致,匀称,美观8)、固定及收紧两根终端杆间所有的合金线全部连接好(注意保持适度松紧)后方可收紧中间收紧器(收紧的原则是以相邻两根线在相邻两根杆中间用手扎紧能碰到为宜,千万不要过紧),注意协调一致,适度,整齐,美观9)、跨线的连接90度,180度,内外跨接注意事项10)、高压绝缘线连接注意连接牢固(特别注意螺纹式线线连接器的用法),避免伤线11)、警示牌的悬挂12)、避雷器(接地桩)和接地桩的安装连接图及原理6、主控机的安装注意安装环境,固定牢靠,高度,操作方便,观察方便,电源等前端与主控机的连接说明注意事项7、系统调试流程1)电前检查全部巡视一遍(注意周围环境)2)220V电源是否正常3)主机的检测(独立)4)合金丝阻抗检查合金丝+、-不通++、--应通5)短路断路报警功能测试断路就在主机上实验,去掉任何一根线即可实验。短路也可在主机处,也可在室外前端任何一个地方用根导线把相邻两根线连接即可实验。6)系统运行正常实施方案:(一)主机的安装主机如图所示,主机位置一般安装在控制室,或门卫室。采用墙挂式。系统配有声光饱经系统,发生报警时,可通过主机排查警情。(二)前端围栏的安装前端围栏直接安装在围墙顶部上方,围墙的高度应在1.8m以上。电子围栏的高度为0.8m左右。导线数:按高度分为4线、6线、8线。线距:180mm左右。线张力:30-50kg。线径:Φ1.8mm高强度,低电阻,抗腐蚀专用合金导线。中间过线杆间距:一般为4至5米左右。1.1终端拉线杆的安装终端杆的安装,可以有焊接,卡箍或预埋三种方式,视围墙结构状况而选择较合适的方式。例如,在铁栅围墙上,可采用焊接法。在混凝土围墙上,可采用预埋方式,在砖墙上可采用卡箍方式。只要达到稳固、美观,也可以用别的方式。对于Φ9.5mm玻璃纤维杆,要在其下端先安装内径不小于9.7mm的不锈钢园管,然后将其下端插入园管上...

1、当您付费下载文档后,您只拥有了使用权限,并不意味着购买了版权,文档只能用于自身使用,不得用于其他商业用途(如 [转卖]进行直接盈利或[编辑后售卖]进行间接盈利)。
2、本站所有内容均由合作方或网友上传,本站不对文档的完整性、权威性及其观点立场正确性做任何保证或承诺!文档内容仅供研究参考,付费前请自行鉴别。
3、如文档内容存在违规,或者侵犯商业秘密、侵犯著作权等,请点击“违规举报”。

碎片内容

电子围栏安装规范

您可能关注的文档

确认删除?
VIP
微信客服
  • 扫码咨询
会员Q群
  • 会员专属群点击这里加入QQ群
客服邮箱
回到顶部