电脑桌面
添加小米粒文库到电脑桌面
安装后可以在桌面快捷访问

成套从高考阅卷看高三复习 全国通用VIP免费

成套从高考阅卷看高三复习 全国通用_第1页
1/10
成套从高考阅卷看高三复习 全国通用_第2页
2/10
成套从高考阅卷看高三复习 全国通用_第3页
3/10
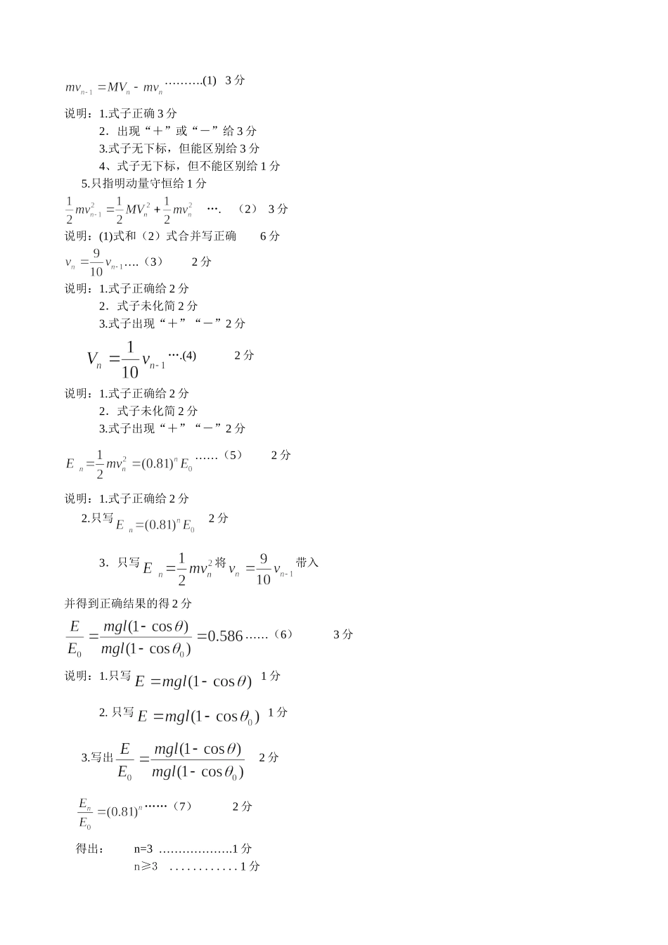
从高考阅卷看高三复习温州二中彭桂和我有幸参加了今年浙江省高考评卷工作,下面我从评分细则和学生答卷中暴露的问题得分情况等方面向各位领导和老师作一个汇报,并谈谈我个人的一些想法,不当之处,敬请批评指正。一、评分细则命题组在命制好试题和参考答案的同时,就制定了评分标准。对阅卷组来说评分标准好比宪法,不得随意改动,只能在评分标准基础上,结合学生的实际答卷情况补充一些便于操作的评分细则,而评分细则的制定具有一定的灵活性,往往随试卷的难易程度、答卷情况作一些调整,起到宏观调控的作用,如去年学生考后感觉较好,评分细则制定得就较严格,今年学生考后普遍叫难,评分细则就相对较宽松一些。下面我介绍一下今年第II卷试题的评分细则第22题(17分)实验题:(1)①竖直位移或↑↓(1分)衰减或衰减调节(1分)Y增益1分(答案中竖直成垂直、上下等也可得1分,出现“6”、“↓”也得分,“衰减”和“Y增益”次序交换不扣分。)②扫描范围(1分),1K(1分),扫描微调(1分)(其中“1K”写成“1000”不扣分)(2)①P点是在实验中的第一步中小球1落点的平均位置(1分)M点是小球1与小球2碰撞后小球1落点的平均位置(1分)N点是小球2落点的平均位置(1分)(由于表述方式太多,该题能答出与标准答案意思相关的表述,即可得分。如:未放球2时,球1的落点;第二步中球1的落点;第二步中球2的落点;等)②原理小球从槽口C飞出后作平抛运动的时间相同,设为t,则有OP=v0tOM=v1tON=v2t,小球2碰撞前静止,v20=0,(能按照上述方式说出原理的给3分)答案中出现OP=v0t给1分OM=v1t给1分ON=v2t给1分出现方程m1·OP=m1·OM+m2·ON得3分答案中用文字回答,能说明小球从槽口C飞出后作平抛运动的时间相同或高度(h)相同,得1分,能说明所测量线段与相应的水平速度成正比,得2分。(答案中只说明线段长度与速度成正比,没有表明“水平”速度的,得1分,如说明线段长度与撞碰后初速度成正比的得2分。)给出e=(v2-v1)/(v10-v20)=(ON-OM)/(OP-O)=(ON-OM)/OP(3分)e=MN/OP3分③OP与小球质量无关,OM和ON与小球的质量有关(2分)只说出“无关”得1分,只说出“有关”得1分,只说出“无关”或“有关”但解释错误得0分。23、方法一:(1).............2分…………………2分等价式子:…………………….2分等价式子:s1=9tS1=S2+S0……………………2分等价式子:S1=S2+13.5a=3m/s2…………………………2分(2)………………3分等价式子:s2=13.5mS2=S0……………………2分方法二:(1)在v-t图中,画出坐标,甲、乙的速度(4分)…………….2分……………….2分得a=3m/s2……………..2分(2)同方法一方法三:相对运动法(1)以甲为参照系或有关相对运动的说明……………..8分a=3m/s2…………………2分(2)同方法一评分细则说明:1.只写一般公式,有下标或说明或有接下的数值计算,但未与试题所给的具体条件相联系的不给分。如仅有不给分,但若有所有下标注出的均可以认为有关联。2.有综合式子,且表达式正确,给各单个式子分数之和,若有不正确的表达项,则不能给分3.最后结果若包括数据或单位有错分不给,若用分数表示不扣分4第2、1题中,x=20+13.5-vt也得3分5若解答中文字字母表达式不清或甲乙互换,但结果正确,1、2题各扣2分方法四、分段解法(1)…………………2分a(t1+t2)=v………………….2分……….4分a=3m/s2……………………………….2分方法五:设乙质量为m,加速度为a………………………2分………………………2分13.5+s=vt…………………………….4分S=13.5m………………………………….3分24题评分细则:一、方法一:……….(1)3分说明:1.式子正确3分2.出现“+”或“-”给3分3.式子无下标,但能区别给3分4、式子无下标,但不能区别给1分5.只指明动量守恒给1分….(2)3分说明:(1)式和(2)式合并写正确6分….(3)2分说明:1.式子正确给2分2.式子未化简2分3.式子出现“+”“-”2分….(4)2分说明:1.式子正确给2分2.式子未化简2分3.式子出现“+”“-”2分……(5)2分说明:1.式子正确给2分2.只写2分3.只写将带入并得到正确结果的得2分……(6)3分说明:1...

1、当您付费下载文档后,您只拥有了使用权限,并不意味着购买了版权,文档只能用于自身使用,不得用于其他商业用途(如 [转卖]进行直接盈利或[编辑后售卖]进行间接盈利)。
2、本站所有内容均由合作方或网友上传,本站不对文档的完整性、权威性及其观点立场正确性做任何保证或承诺!文档内容仅供研究参考,付费前请自行鉴别。
3、如文档内容存在违规,或者侵犯商业秘密、侵犯著作权等,请点击“违规举报”。

碎片内容

成套从高考阅卷看高三复习 全国通用

文章天下+ 关注
实名认证
内容提供者

各种文档应有尽有

相关文档

确认删除?
VIP
微信客服
  • 扫码咨询
会员Q群
  • 会员专属群点击这里加入QQ群
客服邮箱
回到顶部