电脑桌面
添加小米粒文库到电脑桌面
安装后可以在桌面快捷访问

高中数学:3.1.3 两角和与差的正切(一) 教案(苏教版必修4)VIP免费

高中数学:3.1.3 两角和与差的正切(一) 教案(苏教版必修4)_第1页
1/4
高中数学:3.1.3 两角和与差的正切(一) 教案(苏教版必修4)_第2页
2/4
高中数学:3.1.3 两角和与差的正切(一) 教案(苏教版必修4)_第3页
3/4
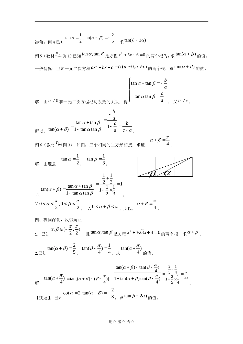
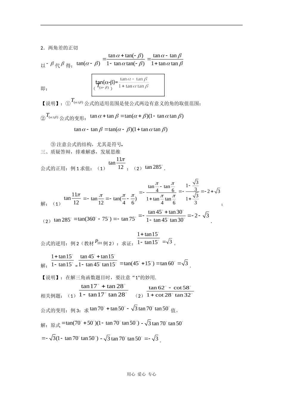
第4课时:3.1.3两角和与差的正切(一)【三维目标】:一、知识与技能1.能够利用两角和与差的正、余弦公式推导出两角和与差的正切公式,了解它们的内在联系,并从推导过程中体会到化归思想的作用;2.能够运用两角和与差的正切公式进行化简、求值、证明;掌握公式的正、逆向及变形运用,选用恰当的公式解决问题;3.能将简单的几何问题化归为三角问题,培养学生的数学转换能力及分析问题的能力。二、过程与方法1.借助两角和与差的正、余弦公式推导出两角和与差的正切公式,让学生进一步体会各个公式之间的联系及结构特点;(在教师的点拨、提示下,学生自行完成证明)2.揭示知识背景,引发学生学习兴趣;创设问题情景,激发学生分析、探求的学习态度,强化学生的参与意识.3.讲解例题,总结方法,巩固练习.三、情感、态度与价值观1.通过本节的学习,使同学们对两角和与差的三角函数有了一个全新的认识;2.理解掌握两角和与差的三角的各种变形,提高逆用思维的能力;能将简单的几何问题化归为三角问题,培养学生的数学转换能力及分析问题的能力。【教学重点与难点】:重点:()T公式的运用。难点:()T公式的推导及运用,选用恰当的方法解决问题。【学法与教学用具】:1.学法:(1)自主性学习+探究式学习法:通过通过类比分析、探索、掌握两角和与差的正切公式的推导过程。(2)反馈练习法:以练习来检验知识的应用情况,找出未掌握的内容及其存在的差距。2.教学用具:多媒体、实物投影仪.【授课类型】:新授课【课时安排】:1课时【教学思路】:一、创设情景,揭示课题复习两角和与差的正、余弦公式:()(),SC公式。二、研探新知1.两角和的正切 0)cos(,)tan(=sinsincoscossincoscossin)cos()sin(当0coscos时,分子分母同时除以coscos得:即:(()T)用心爱心专心tan(+)=2.两角差的正切以代得:tan()tantan()1tantan()tantan1tantan即:(()T)【说明】:①()T公式的适用范围是使公式两边有意义的角的取值范围;②()T公式的变形:tantantan()(1tantan)tantantan()(1tantan)③注意公式的结构,尤其是符号奎屯王新敞新疆三、质疑答辩,排难解惑,发展思维公式的正用:例1求值:(1)11tan12;(2)tan285.解:(1)11tan12tantan()1246tantan461tantan4631323313;(2)tan285tan(36075)tan75tan45tan30231tan45tan30.公式的逆用:例2(教材101P例2):求证:1tan151tan153。解:1tan151tan15=tan45tan151tan45tan15tan(4515)tan603.【说明】:在解三角函数题目时,要注意“1”的妙用.相关例题:(1)28tan17tan128tan17tan(2)32tan28cot158cot62tan公式的变用:例3:求tan70tan503tan70tan50值。解:原式tan(7050)(1tan70tan50)3tan70tan503(1tan70tan50)3tan70tan503.用心爱心专心tan()=凑角:例4已知52)tan(,21tan,求)2tan(例5(教材101P例1)已知tan,tan是方程0652xx的两个根为,求tan()的值。一般情况:已知一元二次方程20axbxc(0,)aac的两个根,求tan()的值。解:由0a和一元二次方程根与系数的关系,得tantantantanbaca,又ac,所以,tan()tantan1tantan1bacabca.例6(教材101P例3).如图,三个相同的正方形相接,求证:4.解:由题意:1tan2,1tan3,∴tantantan()1tantan1123111123,0,022,∴0,所以,4.四、巩固深化,反馈矫正1.已知,(,)22,且tan,tan是方程23340xx的两个根,求...

1、当您付费下载文档后,您只拥有了使用权限,并不意味着购买了版权,文档只能用于自身使用,不得用于其他商业用途(如 [转卖]进行直接盈利或[编辑后售卖]进行间接盈利)。
2、本站所有内容均由合作方或网友上传,本站不对文档的完整性、权威性及其观点立场正确性做任何保证或承诺!文档内容仅供研究参考,付费前请自行鉴别。
3、如文档内容存在违规,或者侵犯商业秘密、侵犯著作权等,请点击“违规举报”。

碎片内容

高中数学:3.1.3 两角和与差的正切(一) 教案(苏教版必修4)

您可能关注的文档

;绿洲书城+ 关注
实名认证
内容提供者

从事历史教学,热爱教育,高度负责。

确认删除?
VIP
微信客服
  • 扫码咨询
会员Q群
  • 会员专属群点击这里加入QQ群
客服邮箱
回到顶部