电脑桌面
添加小米粒文库到电脑桌面
安装后可以在桌面快捷访问

高中数学选修2-2定积分的计算VIP免费

高中数学选修2-2定积分的计算_第1页
1/3
高中数学选修2-2定积分的计算_第2页
2/3
高中数学选修2-2定积分的计算_第3页
3/3
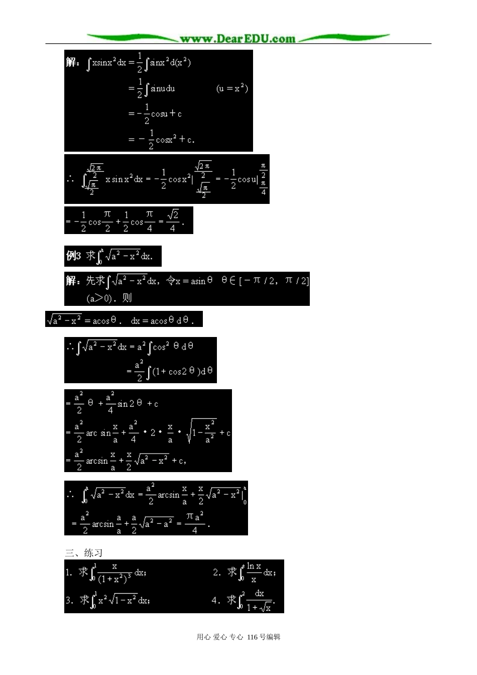
定积分的计算教学目的学会使用牛顿—莱布尼茨公式,对不能直接求得被积函数的原函数的那些定积分的计算会利用换元法先求得原函数,再计算定积分.教学重点和难点会用公式是本节重点;难点是求原函数.教学过程一、复习定积分中的牛顿—莱布尼茨公式(又称为“微积分基本公式”).1.提问公式的内容.2.提问公式中的F(x)是f(x)的任一原函数,而为什么不写成F(x)+c(c为任意常数)(答:在差F(b)-F(a)中与c无关,因而是某一个原函数即可.)3.公式对被积函数f(x)的要求是什么?(答:f(x)在[a、b]上连续,并有原函数F(x).)4.判断以下定积分是否存在?并说理由?二、新课较复杂的定积分的计算:用心爱心专心116号编辑三、练习用心爱心专心116号编辑四、布置作业(要求写出求不定积分的过程和计算定积分的过程.)用心爱心专心116号编辑

1、当您付费下载文档后,您只拥有了使用权限,并不意味着购买了版权,文档只能用于自身使用,不得用于其他商业用途(如 [转卖]进行直接盈利或[编辑后售卖]进行间接盈利)。
2、本站所有内容均由合作方或网友上传,本站不对文档的完整性、权威性及其观点立场正确性做任何保证或承诺!文档内容仅供研究参考,付费前请自行鉴别。
3、如文档内容存在违规,或者侵犯商业秘密、侵犯著作权等,请点击“违规举报”。

碎片内容

高中数学选修2-2定积分的计算

您可能关注的文档

;绿洲书城+ 关注
实名认证
内容提供者

从事历史教学,热爱教育,高度负责。

确认删除?
VIP
微信客服
  • 扫码咨询
会员Q群
  • 会员专属群点击这里加入QQ群
客服邮箱
回到顶部