电脑桌面
添加小米粒文库到电脑桌面
安装后可以在桌面快捷访问

高中数学 第四章 两角和与差的正弦 余弦 正切(6)教案VIP免费

高中数学 第四章 两角和与差的正弦 余弦 正切(6)教案_第1页
1/6
高中数学 第四章 两角和与差的正弦 余弦 正切(6)教案_第2页
2/6
高中数学 第四章 两角和与差的正弦 余弦 正切(6)教案_第3页
3/6
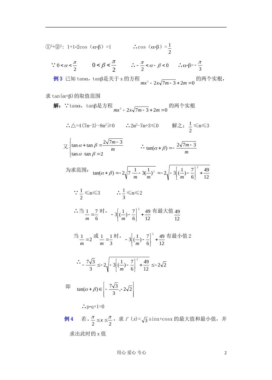
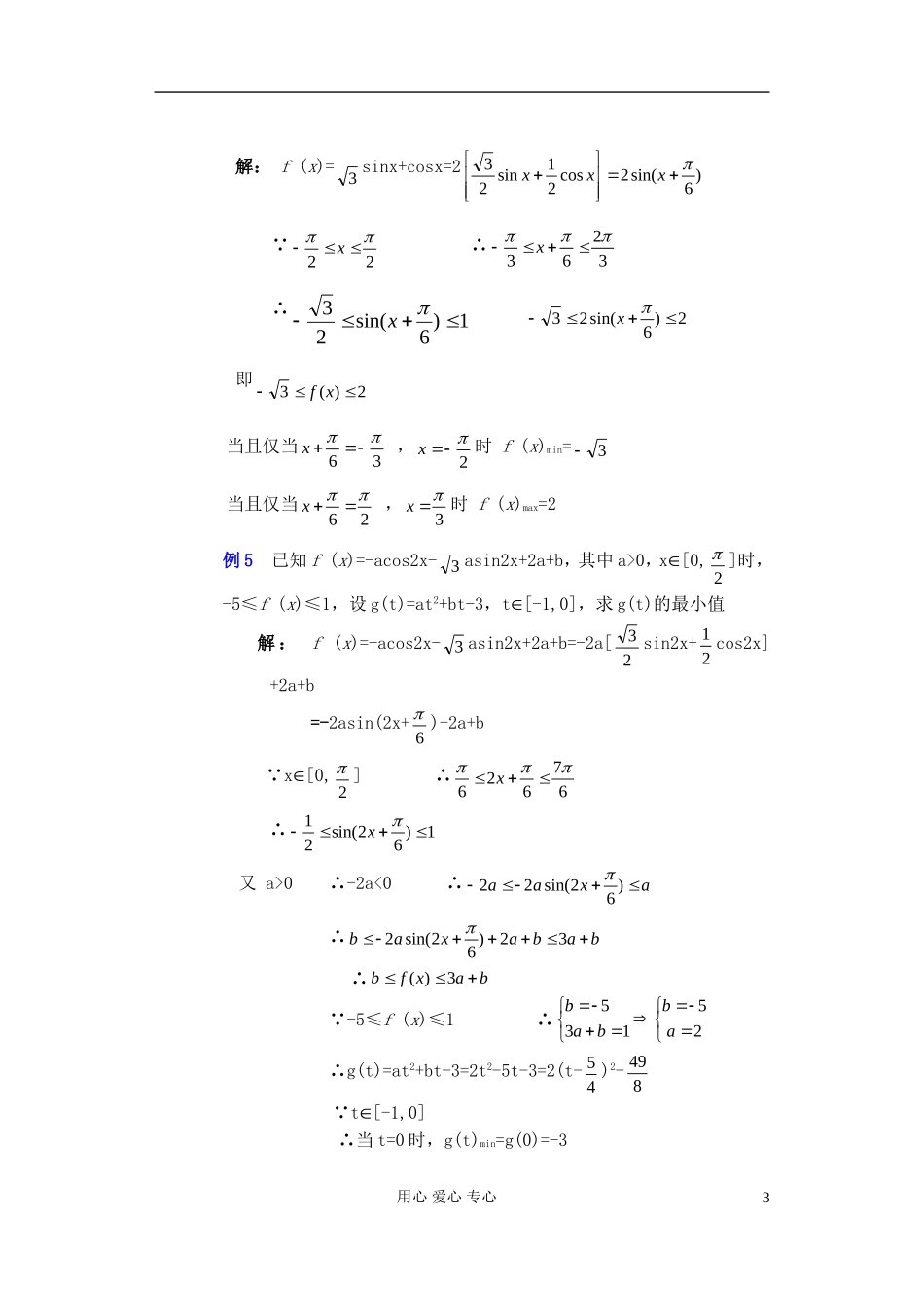
两角和与差的正弦、余弦、正切(6)教学目的:进一步熟悉有关技巧,继续提高学生综合应用能力教学重点:两角和与差的余弦、正弦、正切公式教学难点:灵活应用和、差角公式进行化简、求值、证明授课类型:新授课课时安排:1课时教具:多媒体、实物投影仪教学过程:一、复习引入:1.两角和与差的正、余弦公式sinsincoscos)cos(sinsincoscos)cos(cossincossin)sin(cossincossin)sin(tantan1tantan)tan(tantan1tantan)tan(二、讲解范例:例1若tan=3x,tan=3x,且=6,求x的值解:tan()=tan6=33 tan=3x,tan=3x∴)33(2133133tantan1tantan23xxxxxx∴3•3x3•3x=23即:03332)3(32xx∴33333xx或(舍去)∴21x例2已知锐角,,满足sin+sin=sin,coscos=cos,求的值解: sin+sin=sin∴sinsin=sin<0①∴sin0,x[0,2]时,-5≤f(x)≤1,设g(t)=at2+bt-3,t[-1,0],求g(t)的最小值解:f(x)=-acos2x-3asin2x+2a+b=-2a[23sin2x+21cos2x]+2a+b=-2asin(2x+6)+2a+b x[0,2]∴67626x∴1)62sin(21x又a>0∴-2a<0∴axaa)62sin(22∴babaxab32)62sin(2∴baxfb3)( -5≤f(x)≤1∴25135abbab∴g(t)=at2+bt-3=2t2-5t-3=2(t-45)2-849 t[-1,0]∴当t=0时,g(t)min=g(0)=-3用心爱心专心3三、课堂练习:1在△ABC中,C>90,则tanAtanB与1的关系适合………………(B)(A)tanAtanB>1(B)tanAtanB>1(C)tanAtanB=1(D)不确定解:在△ABC中 C>90∴A,B为锐角即tanA>0,tanB>0又tanC<0于是:tanC=tan(A+B)=BABAtantan1tantan<0∴1tanAtanB>0即:tanAtanB<1又解:在△ABC中 C>90∴C必在以AB为直径的⊙O内(如图)过C作CDAB于D,DC交⊙O于C’,设CD=h,C’D=h’,AD=p,BD=q,则tanAtanB1'22pqhpqhqhph2.设,(2,2),tan、tan是一元二次方程04332xx的两个根,求+解:由韦达定理:4tanβtanα33tanβtanα∴34133)tan(1tantan)tan(又由,(2,2)且tan,tan<0( tan+tan<0,tantan>0)得+(,0)∴+=32四、小结有关解题技巧:化弦、辅助角、角变换、公式逆用、正余弦和积互换五、课后作业:1求证:)4tan(cossincossinxxxxx证明:左边=)4tan()4cos(2)4sin(2xxx=右边或:右边=tan(x-4)用心爱心专心4BC’...

1、当您付费下载文档后,您只拥有了使用权限,并不意味着购买了版权,文档只能用于自身使用,不得用于其他商业用途(如 [转卖]进行直接盈利或[编辑后售卖]进行间接盈利)。
2、本站所有内容均由合作方或网友上传,本站不对文档的完整性、权威性及其观点立场正确性做任何保证或承诺!文档内容仅供研究参考,付费前请自行鉴别。
3、如文档内容存在违规,或者侵犯商业秘密、侵犯著作权等,请点击“违规举报”。

碎片内容

高中数学 第四章 两角和与差的正弦 余弦 正切(6)教案

您可能关注的文档

;绿洲书城+ 关注
实名认证
内容提供者

从事历史教学,热爱教育,高度负责。

确认删除?
VIP
微信客服
  • 扫码咨询
会员Q群
  • 会员专属群点击这里加入QQ群
客服邮箱
回到顶部