电脑桌面
添加小米粒文库到电脑桌面
安装后可以在桌面快捷访问

高中数学 第一章 导数及其应用 第4课时 常见函数的导数教案 苏教版选修2-2-苏教版高二选修2-2数学教案VIP免费

高中数学 第一章 导数及其应用 第4课时 常见函数的导数教案 苏教版选修2-2-苏教版高二选修2-2数学教案_第1页
1/4
高中数学 第一章 导数及其应用 第4课时 常见函数的导数教案 苏教版选修2-2-苏教版高二选修2-2数学教案_第2页
2/4
高中数学 第一章 导数及其应用 第4课时 常见函数的导数教案 苏教版选修2-2-苏教版高二选修2-2数学教案_第3页
3/4
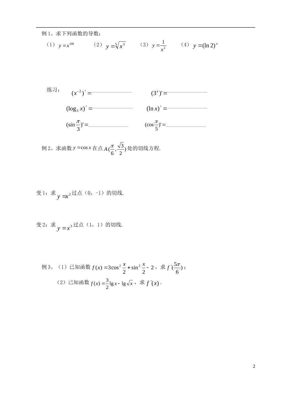
常见函数的导数【教学目标】1、理解常见函数的导数的推导过程;2、掌握常见函数的导数公式,会灵活运用公式解决问题【教学难点、重点】利用导数定义推导常见函数的导数公式【教学过程】一、复习引入1、导数的概念及其几何意义;2、导函数的定义;3、求函数的导数的步骤:(1)求函数的改变量)()(xfxxfy;(2)求平均变化率xxfxxfxy)()(;(3)取极限,得导数()yfx.二、知识要点1、基本初等函数的导数公式:(1)()kxbk(,kb为常数)(2)0)(C(C为常数)(3)()1x(4)2()2xx(5)32()3xx(6)211()xx(7)1()2xx由(3)~(7)你能发现什么规律?(8)1()xx(为常数)(9)()ln(0xxaaaa且1)a(10)11(log)loge(0lnaaxaxxa且1)a(11)()xxee(12)1(ln)xx(13)(sin)cosxx(14)(cos)sinxx-三、例题分析1例1、求下列函数的导数:(1)100xy(2)53xy(3)21xy(4)xy)2(ln练习:)(2x_______________)'3(x_______________)(log3x_______________)(lnx_______________)'3(sin_______________)'5(cos_______________例2、求函数xycos在点)23,6(A处的切线方程.变1:求2xy过点(0,-1)的切线.变2:求3xy过点(1,1)的切线.例3、(1)已知函数22sin2cos3)(22xxxf,求)65(f;(2)已知函数xxxflglg23)(,求)(xf.2例4、若直线yxb为函数xy1图象的切线,求b及切点坐标.四、课内练习1、质点沿直线运动的路程S和时间t的关系是5tS,则质点在4t时速度为2、下列结论:(1)xxsin)'(cos;(2)3cos)'3(sinππ;(3)若21xy,272|'3xy;(4)xxx21)'1(,其中正确的有3、函数xxxf3)(的导函数)(xf___________4、(1)设函数xxxf1lnln2)(,则它的导函数)(xf___________(2)函数xxxf)31(23)(1在0x处的导数)0(f___________(3)函数2cos2sin2)(xxxf在2x处的导数为_______________5、若直线2xy是曲线xysin在点P处的切线,则P的坐标为_____________6、曲线xey在0xx处的切线斜率为e,则0x_____________7、若函数)(xfy满足221)1(xxxf,则)('xf8、求过两曲线xy1和xy的交点并分别与两曲线相切的直线方程.39、设直线1l与曲线xy相切于点P,直线2l过P且垂直于1l,若2l交x轴于Q点,又作PK垂直于x轴于K,求KQ的长.10、求证:双曲线)0(kkxy上任意一点处的切线与两坐标轴围成的三角形的面积为定值.4

1、当您付费下载文档后,您只拥有了使用权限,并不意味着购买了版权,文档只能用于自身使用,不得用于其他商业用途(如 [转卖]进行直接盈利或[编辑后售卖]进行间接盈利)。
2、本站所有内容均由合作方或网友上传,本站不对文档的完整性、权威性及其观点立场正确性做任何保证或承诺!文档内容仅供研究参考,付费前请自行鉴别。
3、如文档内容存在违规,或者侵犯商业秘密、侵犯著作权等,请点击“违规举报”。

碎片内容

高中数学 第一章 导数及其应用 第4课时 常见函数的导数教案 苏教版选修2-2-苏教版高二选修2-2数学教案

您可能关注的文档

确认删除?
VIP
微信客服
  • 扫码咨询
会员Q群
  • 会员专属群点击这里加入QQ群
客服邮箱
回到顶部