电脑桌面
添加小米粒文库到电脑桌面
安装后可以在桌面快捷访问

高中数学 直线和椭圆的位置关系教案 新人教A版选修2VIP免费

高中数学 直线和椭圆的位置关系教案 新人教A版选修2_第1页
1/3
高中数学 直线和椭圆的位置关系教案 新人教A版选修2_第2页
2/3
高中数学 直线和椭圆的位置关系教案 新人教A版选修2_第3页
3/3
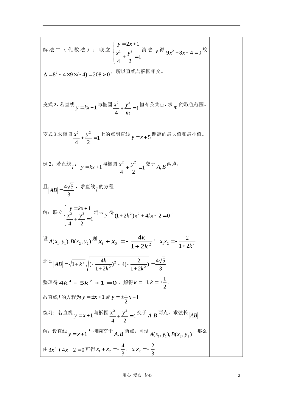
课题直线和椭圆的位置关系课型复习课时累计教学目标知识目标能判断直线和椭圆的位置关系并会计算弦长。能力目标培养学生用代数的方法解决几何问题的能力及基本的运算能力。情感目标通过对直线和椭圆位置关系的一些常见问题的归纳和总结,减少学生对部分问题的恐惧感,激起学生的兴趣。重点:直线和椭圆的位置关系的判断及弦长的计算。教学资源难点:解析几何中含字母的运算。教学互动内容设计意图一、知识回顾1、直线和椭圆的位置关系:相交、相切、相离;2、弦长公式2122122124)(11xxxxkxxkAB=22212121211()4kyykyyyy二、例题分析例1、当m取何值时,直线mxy与椭圆12422yx相交、相切、相离。解:联立22142yxmxy消去y得2234240xmxm则2221643(24)848mmm当0时,即66m时,直线mxy与椭圆12422yx相交;当0时,即6m时,直线mxy与椭圆12422yx相切;当0时,即6m或6m直线mxy与椭圆12422yx相离。变式1、判断直线21yx与椭圆12422yx的位置关系。解法一(几何法):直线21yx上的一点)1,0(在椭圆内12422yx,故直线与椭圆相交。用心爱心专心1解法二(代数法):联立2221142yxxy消去y得29840xx故2849(4)2080,所以直线与椭圆相交。变式2、若直线1ykx与椭圆2214xym恒有公共点,求m的取值范围。变式3求椭圆12422yx上的点到直线5yx距离的最大值和最小值。例2:若直线l:1kxy与椭圆12422yx交于BA,两点,且354AB,求直线l的方程解:联立124122yxkxy消去y得024)21(22kxxk,设),(),,(2211yxByxA则221214kkxx,221212kxx那么354)212(4)214(12222kkkkAB整理得015424kk,解得21,1kk,故直线l的方程为1xy或121xy。练习:若直线1xy与椭圆12422yx交于BA,两点,求弦长AB解:设直线1xy与椭圆交于BA,两点,且设),(),,(2211yxByxA,那么由02432xx可得3421xx,3221xx用心爱心专心2354)32(4)34(114)(122212212xxxxkAB三、小结1、直线与椭圆的位置关系;2、直线被椭圆截得弦长公式;作业设计:教学小结、反思(优缺点、努力方向)用心爱心专心3

1、当您付费下载文档后,您只拥有了使用权限,并不意味着购买了版权,文档只能用于自身使用,不得用于其他商业用途(如 [转卖]进行直接盈利或[编辑后售卖]进行间接盈利)。
2、本站所有内容均由合作方或网友上传,本站不对文档的完整性、权威性及其观点立场正确性做任何保证或承诺!文档内容仅供研究参考,付费前请自行鉴别。
3、如文档内容存在违规,或者侵犯商业秘密、侵犯著作权等,请点击“违规举报”。

碎片内容

高中数学 直线和椭圆的位置关系教案 新人教A版选修2

您可能关注的文档

;绿洲书城+ 关注
实名认证
内容提供者

从事历史教学,热爱教育,高度负责。

确认删除?
VIP
微信客服
  • 扫码咨询
会员Q群
  • 会员专属群点击这里加入QQ群
客服邮箱
回到顶部