电脑桌面
添加小米粒文库到电脑桌面
安装后可以在桌面快捷访问

高中数学 第1章 解三角形 1.3 正弦定理、余弦定理的应用(2)教案 苏教版必修5-苏教版高二必修5数学教案VIP免费

高中数学 第1章 解三角形 1.3 正弦定理、余弦定理的应用(2)教案 苏教版必修5-苏教版高二必修5数学教案_第1页
1/5
高中数学 第1章 解三角形 1.3 正弦定理、余弦定理的应用(2)教案 苏教版必修5-苏教版高二必修5数学教案_第2页
2/5
高中数学 第1章 解三角形 1.3 正弦定理、余弦定理的应用(2)教案 苏教版必修5-苏教版高二必修5数学教案_第3页
3/5
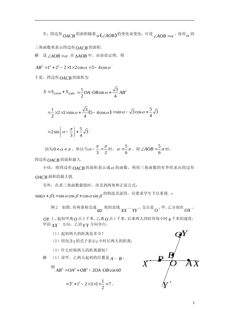
1.3正弦定理、余弦定理的应用(2)教学目标:1.能够运用正弦定理、余弦定理等知识和方法解决一些与测量和几何计算、最值探求有关的实际问题.2.能把一些简单的实际问题转化为数学问题,并能应用正弦、余弦定理及相关的三角公式解决这些问题.教学重点:正弦定理、余弦定理等知识和方法在计算、最值探求等方面的应用.教学难点:正弦定理、余弦定理等知识和方法在计算、最值探求等方面的应用.教学方法:讲练结合.教学过程:一、复习引入(一)主要知识:1.正弦定理:2sinsinsinabcRABC.2.余弦定理:222222222222222222cos,22cos,2cos,cos,22cos.cos.2bcaAbcabcbcAacbbacacBBaccababCabcCab3.推论:正余弦定理的边角互换功能.①2sinaRA,2sinbRB,2sincRC②sin2aAR,sin2bBR,sin2cCR③sinsinsinabcABC=sinsinsinabcABC=2R④::sin:sin:sinabcABC14.三角形中的基本关系式:sin()sin,cos()cos,BCABCAsincos,cossin2222BCABCA(二)总结解斜三角形的要求和常用方法:1.利用正弦定理和三角形内角和定理,可以解决以下两类解斜三角形问题:①已知两角和任一边,求其他两边和一角;②已知两边和其中一边的对角,求另一边的对角,从而进一步求其他的边和角.2.应用余弦定理解以下两类三角形问题:①已知三边求三内角;②已知两边和它们的夹角,求第三边和其他两个内角.二、问题情境利用正弦定理、余弦定理解三角形在测量、航海、几何、物理学等方面都有非常广泛的应用,今天我们继续来研究正弦定理、余弦定理等知识和方法在计算、最值探求等方面的应用.如果我们抽去每个应用题中与生产生活实际所联系的外壳,就暴露出解三角形问题的本质,这就要提高分析问题和解决问题的能力及化实际问题为抽象的数学问题的能力.下面,我们将举例来说明解斜三角形在实际中的一些应用.三、数学运用1.例题.例1.如图1-3-4,半圆O的直径为2,A为直径延长线上的一点,2OA,B为半圆上任意一点,以AB为一边作等边三角形ABC.问:点B在什么位置时,四边形OACB面积最大?学生活动:问题1:四边形怎么产生的呢?生:OA是定的,B动面积变.师:是的,四边形的面积由点B的位置惟一确定,而点B由AOB惟一确定.问题2:如何求该四边形的面积?生:AOBABCSSS师:选什么作为自变量呢?2生:四边形OACB的面积随着AOB的变化而变化,可设AOB,再用的三角函数来表示四边形OACB的面积.解设AOB.在AOB中,由余弦定理,得22212212cos54cosAB.于是,四边形OACB的面积为AOBABCSSS213sin24OAOBAB1321sin54cos245sin3cos3452sin334.因为0,所以当32时,56,即56AOB时,四边形OACB的面积最大.小结:将四边形OACB的面积表示成的函数,利用三角函数的有界性求出四边形OACB面积的最大值.另外,在求三角函数最值时,涉及到两角和正弦公式:sin()sincoscossin的构造及逆用,应要求学生予以重视.例2如图,有两条相交成60角的直线XX、YY,交点是O,甲、乙分别在OX、OY上,起初甲离O点3千米,乙离O点1千米,后来两人同时用每小时4千米的速度,甲沿XX方向,乙沿YY方向步行,(1)起初两人的距离是多少?(2)用包含t的式子表示t小时后两人的距离;(3)什么时候两人的距离最短?解(1)设甲、乙两人起初的位置是A,B,则2222cos60ABOAOBOAOB2213123172,3XXYYBQPOA∴AB=7km.∴起初两人的距离是7km.师:如何表示t小时后两人的距离呢?生:还是用余弦定理,但是要分类讨论,因为夹角发生了改变.(2)设甲、乙两人t小时后的位置分别是PQ,,则4APt,4BQt,当304t时,2222(34)(14)2(34)(14)cos6048247PQtttttt;当34t时,2222(43)(14)2(43)(14)cos12048247PQtttttt,所以,248247PQttkm.(3)22214824748()44PQttt...

1、当您付费下载文档后,您只拥有了使用权限,并不意味着购买了版权,文档只能用于自身使用,不得用于其他商业用途(如 [转卖]进行直接盈利或[编辑后售卖]进行间接盈利)。
2、本站所有内容均由合作方或网友上传,本站不对文档的完整性、权威性及其观点立场正确性做任何保证或承诺!文档内容仅供研究参考,付费前请自行鉴别。
3、如文档内容存在违规,或者侵犯商业秘密、侵犯著作权等,请点击“违规举报”。

碎片内容

高中数学 第1章 解三角形 1.3 正弦定理、余弦定理的应用(2)教案 苏教版必修5-苏教版高二必修5数学教案

您可能关注的文档

确认删除?
VIP
微信客服
  • 扫码咨询
会员Q群
  • 会员专属群点击这里加入QQ群
客服邮箱
回到顶部