电脑桌面
添加小米粒文库到电脑桌面
安装后可以在桌面快捷访问

高中数学 3.2.4 二倍角的正弦、余弦、正切(4)教案 苏教版必修3VIP免费

高中数学 3.2.4 二倍角的正弦、余弦、正切(4)教案 苏教版必修3_第1页
1/3
高中数学 3.2.4 二倍角的正弦、余弦、正切(4)教案 苏教版必修3_第2页
2/3
高中数学 3.2.4 二倍角的正弦、余弦、正切(4)教案 苏教版必修3_第3页
3/3
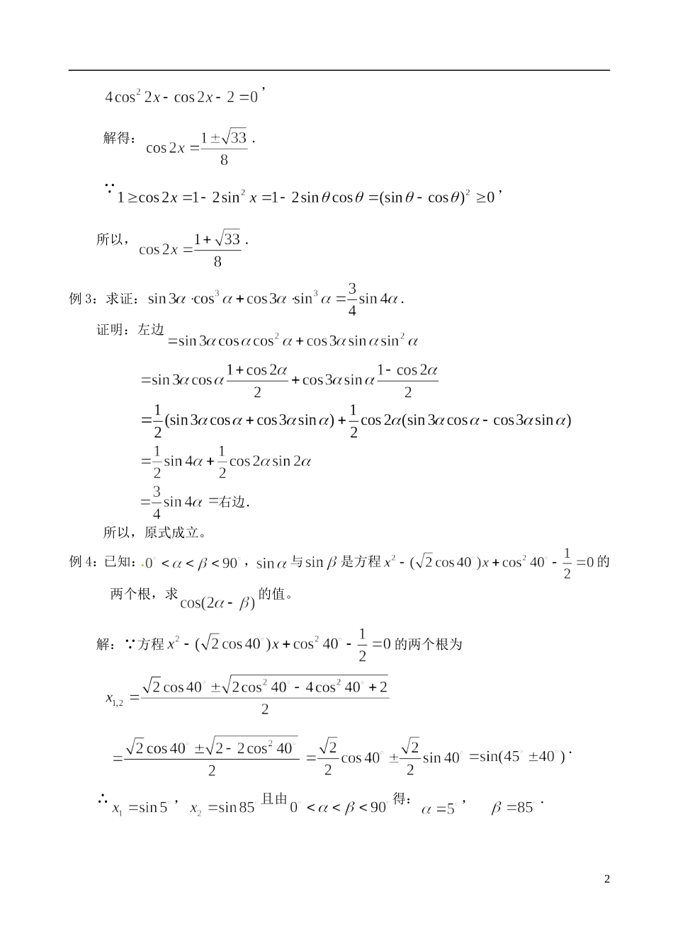
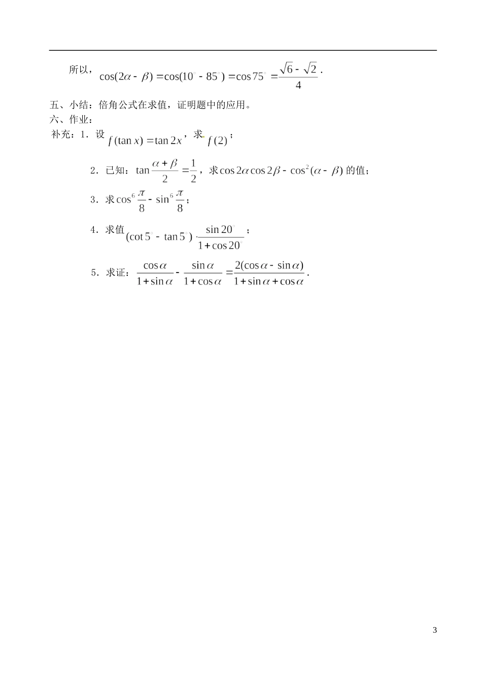
3.2.4二倍角的正弦、余弦、正切(4)一、课题:二倍角的正弦、余弦、正切(4)二、教学目标:1.继续研究二倍角公式的应用;2.利用三角函数的性质建立目标函数解题。三、教学重、难点:综合运用二倍角公式。四、教学过程:(一)复习:1.二倍角公式2.降幂公式:.(二)新课讲解:例1:已知,,且,为锐角,试求的值。解:∵,∴①又∵,∴②①②,得:,又∵,∴,,∴,从而.例2:已知,,成等差数列,,,成等比数列,求的值。解:由已知条件得:,,∴,,1,解得:.∵,所以,.例3:求证:.证明:左边右边.所以,原式成立。例4:已知:,与是方程的两个根,求的值。解:∵方程的两个根为.∴,且由得:,.2所以,.五、小结:倍角公式在求值,证明题中的应用。六、作业:补充:1.设,求;2.已知:,求的值;3.求;4.求值;5.求证:.3

1、当您付费下载文档后,您只拥有了使用权限,并不意味着购买了版权,文档只能用于自身使用,不得用于其他商业用途(如 [转卖]进行直接盈利或[编辑后售卖]进行间接盈利)。
2、本站所有内容均由合作方或网友上传,本站不对文档的完整性、权威性及其观点立场正确性做任何保证或承诺!文档内容仅供研究参考,付费前请自行鉴别。
3、如文档内容存在违规,或者侵犯商业秘密、侵犯著作权等,请点击“违规举报”。

碎片内容

高中数学 3.2.4 二倍角的正弦、余弦、正切(4)教案 苏教版必修3

您可能关注的文档

星河书苑+ 关注
实名认证
内容提供者

从事历史教学,热爱教育,高度负责。

相关文档

确认删除?
VIP
微信客服
  • 扫码咨询
会员Q群
  • 会员专属群点击这里加入QQ群
客服邮箱
回到顶部