电脑桌面
添加小米粒文库到电脑桌面
安装后可以在桌面快捷访问

高中数学 2.4《向量的数量积 2》教案 苏教版必修4VIP免费

高中数学 2.4《向量的数量积 2》教案 苏教版必修4_第1页
1/3
高中数学 2.4《向量的数量积 2》教案 苏教版必修4_第2页
2/3
高中数学 2.4《向量的数量积 2》教案 苏教版必修4_第3页
3/3
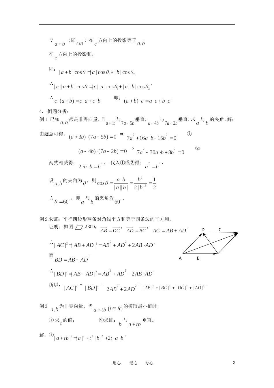
2.4向量的数量积(2)一、课题:向量的数量积二、教学目标:要求学生掌握平面向量数量积的运算律,明确向量垂直的充要条件。三、教学重、难点:向量数量积的运算律和运算律的理解;四、教学过程:(一)复习:1.平面向量数量积(内积)的定义及其几何意义、性质;2.判断下列各题正确与否:①若,则对任一向量,有;(√)②若,则对任一非零向量,有;(×)③若,,则;(×)④若,则至少有一个为零向量;(×)⑤若,则当且仅当时成立;(×)⑥对任意向量,有.(√)(二)新课讲解:1.交换律:证:设夹角为,则,∴.2.证:若,,,,若,,,.3..在平面内取一点,作,,,用心爱心专心112abABOA1B1Cc∵(即)在方向上的投影等于在方向上的投影和,即:∴,∴即:.4.例题分析:例1已知都是非零向量,且与垂直,与垂直,求与的夹角。解:由题意可得:①②两式相减得:,代入①或②得:,设的夹角为,则∴,即与的夹角为.例2求证:平行四边形两条对角线平方和等于四条边的平方和。证明:如图:ABCD,,,,∴,而,∴,所以,+==.例3为非零向量,当的模取最小值时,①求的值;②求证:与垂直。解:①,用心爱心专心2ABDC∴当时,最小;②∵,∴与垂直。例4如图,是的三条高,求证:相交于一点。证:设交于一点,,则∵∴得,即,∴,又∵点在的延长线上,∴相交于一点。五、小结:数量积的运算律和垂直充要条件的应用。六、作业:课本习题5.6第2,4题。补充:1.向量的模分别为,的夹角为,求的模;2.设是两个不相等的非零向量,且,求与的夹角。3.设,是相互垂直的单位向量,求.用心爱心专心3ABCDEFH

1、当您付费下载文档后,您只拥有了使用权限,并不意味着购买了版权,文档只能用于自身使用,不得用于其他商业用途(如 [转卖]进行直接盈利或[编辑后售卖]进行间接盈利)。
2、本站所有内容均由合作方或网友上传,本站不对文档的完整性、权威性及其观点立场正确性做任何保证或承诺!文档内容仅供研究参考,付费前请自行鉴别。
3、如文档内容存在违规,或者侵犯商业秘密、侵犯著作权等,请点击“违规举报”。

碎片内容

高中数学 2.4《向量的数量积 2》教案 苏教版必修4

您可能关注的文档

确认删除?
VIP
微信客服
  • 扫码咨询
会员Q群
  • 会员专属群点击这里加入QQ群
客服邮箱
回到顶部