电脑桌面
添加小米粒文库到电脑桌面
安装后可以在桌面快捷访问

高中数学 2.2.3 向量的数乘(2)教案 苏教版必修4VIP免费

高中数学 2.2.3 向量的数乘(2)教案 苏教版必修4_第1页
1/3
高中数学 2.2.3 向量的数乘(2)教案 苏教版必修4_第2页
2/3
高中数学 2.2.3 向量的数乘(2)教案 苏教版必修4_第3页
3/3
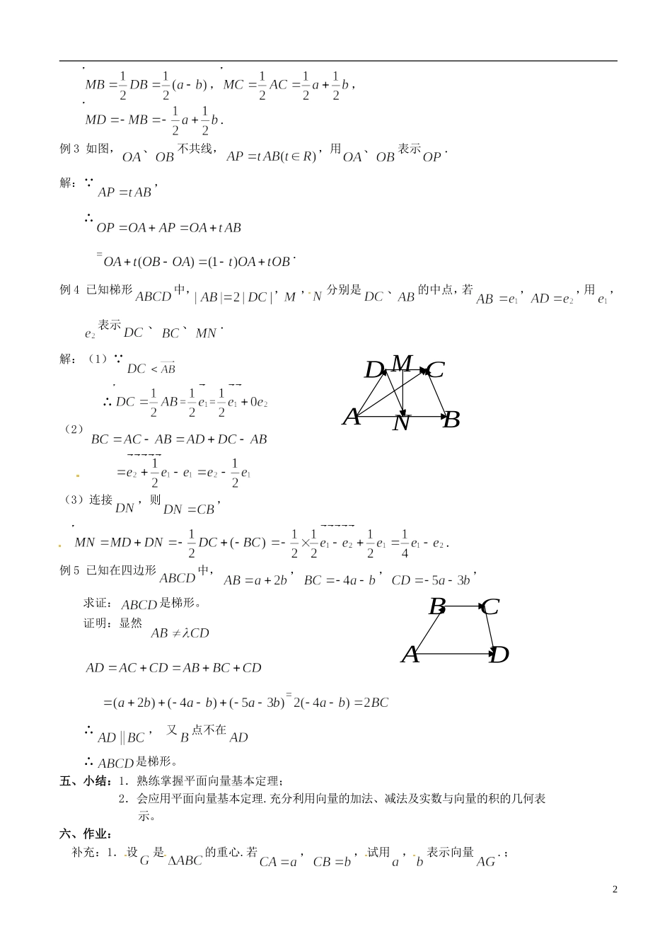
2.2.3向量的数乘(2)一、课题:向量的数乘(2))二、教学目标:1.了解平面向量基本定理的概念;2.通过定理用两个不共线向量来表示另一向量或将一个向量分解为两个向量;3.能运用平面向量基本定理处理简单的几何问题。三、教学重、难点:1.平面向量基本定理的应用;2.平面向量基本定理的理解。四、教学过程:(一)复习引入:(1)向量的加法运算、向量共线定理;(2)设,是同一平面内的两个不共线的向量,是这一平面内的任一向量,下面我们来研究向量与,的关系。(二)新课讲解:1.平面向量基本定理:如果,是同一平面内的两个不共线向量,那么对于这一平面内的任一向量,有且只有一对实数,,使.其中我们把不共线的向量,叫做表示这一平面所有向量的一组基底。注:①,均非零向量;②,不唯一(事先给定);③,唯一;④时,与共线;时,与共线;时,.2.例题分析:例1已知向量,(如图),求作向量.作法:1.如图(2),任取一点,作,;2.作OACB,于是是所求作的向量。例2如图,的两条对角线相交于点,且,,用、表示、、和.解:在中,ABCD∵,,∴,1DbCBaAMOBPA,,.例3如图,、不共线,,用、表示.解:∵,∴=.例4已知梯形中,,,分别是、的中点,若,,用,表示、、.解:(1)∵∴==(2)(3)连接,则,.例5已知在四边形中,,,,求证:是梯形。证明:显然=∴,又点不在∴是梯形。五、小结:1.熟练掌握平面向量基本定理;2.会应用平面向量基本定理.充分利用向量的加法、减法及实数与向量的积的几何表示。六、作业:补充:1.设是的重心.若,,试用,表示向量.;2AMDCNBACBD2.已知:如图,,.(1)求证:;(2)求与的面积之比.3.设,是两个不共线向量,求与共线的充要条件。3

1、当您付费下载文档后,您只拥有了使用权限,并不意味着购买了版权,文档只能用于自身使用,不得用于其他商业用途(如 [转卖]进行直接盈利或[编辑后售卖]进行间接盈利)。
2、本站所有内容均由合作方或网友上传,本站不对文档的完整性、权威性及其观点立场正确性做任何保证或承诺!文档内容仅供研究参考,付费前请自行鉴别。
3、如文档内容存在违规,或者侵犯商业秘密、侵犯著作权等,请点击“违规举报”。

碎片内容

高中数学 2.2.3 向量的数乘(2)教案 苏教版必修4

您可能关注的文档

星河书苑+ 关注
实名认证
内容提供者

从事历史教学,热爱教育,高度负责。

确认删除?
VIP
微信客服
  • 扫码咨询
会员Q群
  • 会员专属群点击这里加入QQ群
客服邮箱
回到顶部