电脑桌面
添加小米粒文库到电脑桌面
安装后可以在桌面快捷访问

2019年高考数学文科二轮复习练习小题提速练9含答案VIP专享VIP免费

2019年高考数学文科二轮复习练习小题提速练9含答案_第1页
1/6
2019年高考数学文科二轮复习练习小题提速练9含答案_第2页
2/6
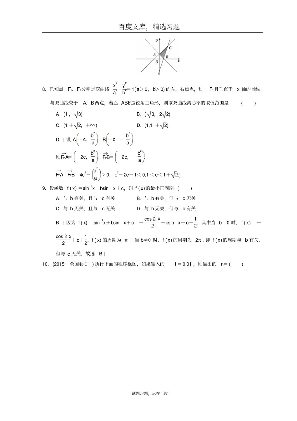
2019年高考数学文科二轮复习练习小题提速练9含答案_第3页
3/6
百度文库,精选习题试题习题,尽在百度小题提速练(九)“12选择+4填空”80分练(时间:45分钟分值:80分)一、选择题(本大题共12小题,每小题5分,共60分.在每小题给出的四个选项中,只有一项是符合题目要求的)1.已知集合A={1,2,3,4},B={y|y=3x-2,x∈A},则A∩B等于()A.{1}B.{4}C.{1,3}D.{1,4}[答案]D2.设a,b都是不等于1的正数,则“3a>3b>3”是“loga30.01;运行第二次:S=0.5-0.25=0.25,m=0.125,n=2,S>0.01;运行第三次:S=0.25-0.125=0.125,m=0.0625,n=3,S>0.01;运行第四次:S=0.125-0.0625=0.0625,m=0.03125,n=4,S>0.01;运行第五次:S=0.03125,m=0.015625,n=5,S>0.01;运行第六次:S=0.015625,m=0.0078125,n=6,S>0.01;运行第七次:S=0.0078125,m=0.00390625,n=7,S<0.01.输出n=7.故选C.]11.点P为圆C1:x2+y2=9上任意一点,Q为圆C2:x2+y2=25上任意一点,PQ中点组成的区域为M,在C2内部任取一点,则该点落在区域M上的概率为()A.1325B.35C.1325πD.35π[答案]B12.已知平面上不共线的四点O,A,B,C,若OA→-4OB→+3OC→=0,则|AB→||BC→|等于()【导学号:04024206】百度文库,精选习题试题习题,尽在百度A.13B.12C.3D.2[答案]C二、填空题(本大题共4小题,每小题5分,共20分.把答案填在题中横线上)13.现有红心1,2,3和黑桃4,5共五张牌,从这五张牌中随机取2张牌,则所取2张牌均为红心的概率为________.[解析]从5张中取2张共有基本事件...

1、当您付费下载文档后,您只拥有了使用权限,并不意味着购买了版权,文档只能用于自身使用,不得用于其他商业用途(如 [转卖]进行直接盈利或[编辑后售卖]进行间接盈利)。
2、本站所有内容均由合作方或网友上传,本站不对文档的完整性、权威性及其观点立场正确性做任何保证或承诺!文档内容仅供研究参考,付费前请自行鉴别。
3、如文档内容存在违规,或者侵犯商业秘密、侵犯著作权等,请点击“违规举报”。

碎片内容

2019年高考数学文科二轮复习练习小题提速练9含答案

确认删除?
VIP
微信客服
  • 扫码咨询
会员Q群
  • 会员专属群点击这里加入QQ群
客服邮箱
回到顶部