电脑桌面
添加小米粒文库到电脑桌面
安装后可以在桌面快捷访问

2019年高考数学文科二轮复习练习小题提速练8含答案VIP专享VIP免费

2019年高考数学文科二轮复习练习小题提速练8含答案_第1页
1/6
2019年高考数学文科二轮复习练习小题提速练8含答案_第2页
2/6
2019年高考数学文科二轮复习练习小题提速练8含答案_第3页
3/6
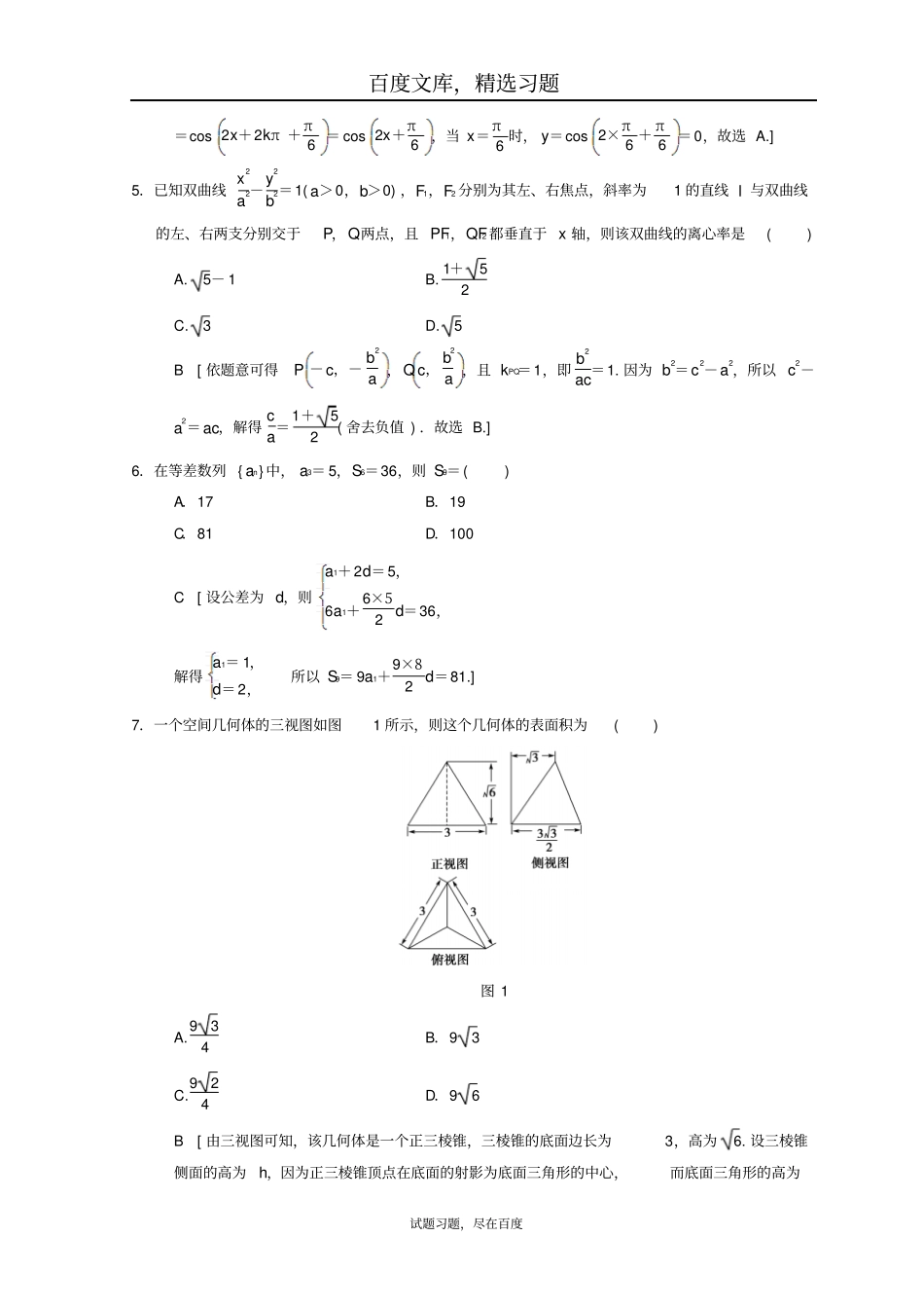
百度文库,精选习题试题习题,尽在百度小题提速练(八)“12选择+4填空”80分练(时间:45分钟分值:80分)一、选择题(本大题共12小题,每小题5分,共60分.在每小题给出的四个选项中,只有一项是符合题目要求的)1.若集合M={-2,-1,0,1,2},N={x|x+2≥x2},则M∩N=()A.{-2,-1,0,1,2}B.{-2,-1,0,1}C.{-1,0,1}D.{-1,0,1,2}D[因为M={-2,-1,0,1,2},N={x|x+2≥x2}={x|x2-x-2≤0}={x|-1≤x≤2},所以M∩N={-1,0,1,2}.]2.复数i31+i的虚部为()A.12B.-12C.12iD.-12iB[i31+i=i3-2=-i4+i32=-12-12i,所以该复数的虚部为-12.]3.设角A,B,C是△ABC的三个内角,则“A+B<C”是“△ABC是钝角三角形”的()A.充分不必要条件B.必要不充分条件C.充要条件D.既不充分也不必要条件A[若A+Bπ2;若△ABC是钝角三角形,则C不一定为钝角,即A+B11,程序结束,故输出s=6.]9.已知实数x,y满足约束条件x+y-1≥0,x+y-3≤0|x|≤1,,则z=2x-y的取值范围是()A.[-2,6]B.[-6,2]C.[-2,4]D.[-6,4]B[不等式组x+y-1≥0,x+y-3≤0,|x|≤1表示的平面区域是图中的阴影部分.解方程组x+y=1,x=1,可得A(1,0),解方程组x+y=3,x=-1,可得B(-1,4).在图中作出直线2x-y=0,当直线2x-y=z经过点A时,z取得最大值,最大值为2×1-0=2;当直线2x-y=z经过点B时,z取得最小值,最小值为2×(-1)-4=-6.所以z的取值范围是[-6,2].10.已知函数f(x)的图象如图3所示,则f(x)的解析式可能是()百度文库,精选习题试题习题,尽在百度图3A.f(x)=2-x22xB.f(x)=sinxx2C.f(x)=-cos2xxD.f(x)=cosxxD[对于选项A,由于f′(x)=-1x2-12<0在定义域(-∞,0)∪(0,+∞)上恒成立,所以f(x)=2-x22x在(-∞,0)和(0,+∞)上都是减函数,排除选项A;对于选项B,f′(x)=xcosx-2sinxx3,得f′(π)=-1π2<0,由图象知f′(π)应大于0,排除选项B;对于选项C,当x由右侧趋近于0时,f(x)<0,与图象不符,排除选项C;对于选项D,f′(x)=-xsinx-cosxx2,得f′(π)=-πsinπ-cosππ2=1π2>0,与已知图象相符,故选D.]11.已知A,B,C都在半径为2的球面上,且AC⊥BC,∠ABC=30°,球心O到平面ABC的距离为1,点M是线段BC的中点,过点M作球O的截面,则截面面积的最小值为()【导学号:...

1、当您付费下载文档后,您只拥有了使用权限,并不意味着购买了版权,文档只能用于自身使用,不得用于其他商业用途(如 [转卖]进行直接盈利或[编辑后售卖]进行间接盈利)。
2、本站所有内容均由合作方或网友上传,本站不对文档的完整性、权威性及其观点立场正确性做任何保证或承诺!文档内容仅供研究参考,付费前请自行鉴别。
3、如文档内容存在违规,或者侵犯商业秘密、侵犯著作权等,请点击“违规举报”。

碎片内容

2019年高考数学文科二轮复习练习小题提速练8含答案

确认删除?
VIP
微信客服
  • 扫码咨询
会员Q群
  • 会员专属群点击这里加入QQ群
客服邮箱
回到顶部