电脑桌面
添加小米粒文库到电脑桌面
安装后可以在桌面快捷访问

高差闭合差计算VIP免费

高差闭合差计算_第1页
1/4
高差闭合差计算_第2页
2/4
高差闭合差计算_第3页
3/4
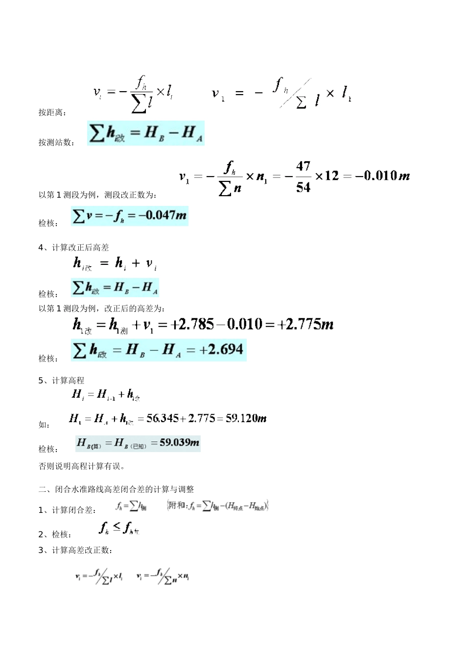
第五节水准测量的内业§2-5水准测量的内业一、符合水准路线的闭合差的计算与调整二、闭合水准路线闭合差的计算与调整三、支水准路线闭合差的计算与调整§2-5水准测量的内业一、符合水准路线的闭合差的计算与调整如图为一符合水准路线:A、B为已知水准点,HA=56.345m,HB=59.039m点1、2、3为待测水准点,各测段高差hi、测站数ni、距离Li见下图:1、计算闭合差:2、检核:(图2-5-40.2)故其精度符合要求。3、计算改正数分配原则:按与测段距离(或测站数)成正比,并反其符号改正到各相应的高差上,得改正后高差。按距离:按测站数:以第1测段为例,测段改正数为:检核:4、计算改正后高差检核:以第1测段为例,改正后的高差为:检核:5、计算高程如:检核:否则说明高程计算有误。二、闭合水准路线高差闭合差的计算与调整1、计算闭合差:2、检核:3、计算高差改正数:4、计算改正后高差:5、计算各测点高程:闭合水准路线的计算与附合水准路线基本相同。三、支水准路线闭合差的计算与调整1、计算闭合差:2、检核:,故精度符合要求。3、计算高差(取往、返测绝对值的平均值,其符号与往测相同)4、计算高程H1=186.785-1.386=185.399m

1、当您付费下载文档后,您只拥有了使用权限,并不意味着购买了版权,文档只能用于自身使用,不得用于其他商业用途(如 [转卖]进行直接盈利或[编辑后售卖]进行间接盈利)。
2、本站所有内容均由合作方或网友上传,本站不对文档的完整性、权威性及其观点立场正确性做任何保证或承诺!文档内容仅供研究参考,付费前请自行鉴别。
3、如文档内容存在违规,或者侵犯商业秘密、侵犯著作权等,请点击“违规举报”。

碎片内容

高差闭合差计算

黄金阁书苑+ 关注
实名认证
内容提供者

热爱教学事业,对互联网知识分享很感兴趣

相关文档

确认删除?
VIP
微信客服
  • 扫码咨询
会员Q群
  • 会员专属群点击这里加入QQ群
客服邮箱
回到顶部