电脑桌面
添加小米粒文库到电脑桌面
安装后可以在桌面快捷访问

支撑单腿摆越成骑撑VIP免费

支撑单腿摆越成骑撑_第1页
1/3
支撑单腿摆越成骑撑_第2页
2/3
支撑单腿摆越成骑撑_第3页
3/3
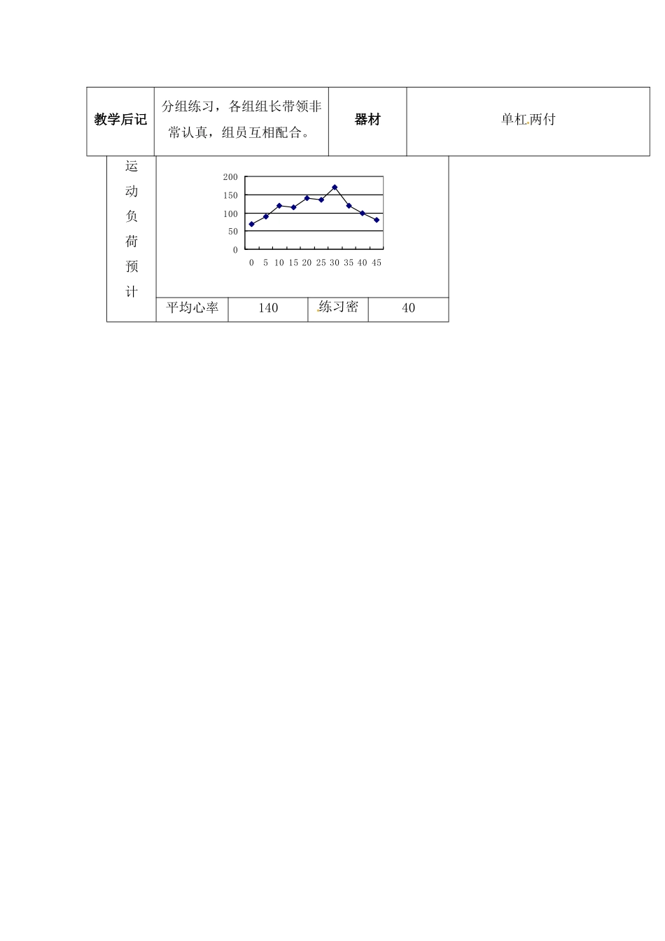
课题支撑单脚摆越成骑撑及还原主备人李泉龙课型新授课教学目标知识与技能:学生知道支撑单脚摆越成骑撑及还原的动作概念。过程与方法:90%以上的学生能独立完成动作,35%的学生完成动作时连贯协调。情感态度价值观:学生能互相帮助完成动作。教学资源教材、教参、课标重点难点摆越成骑撑教学过程环节时间教师活动学生活动设计意图常规(2’)准备活动(5’)复习支撑单脚支撑1、指定集合地点,检查着装,接受学生体委报告。2、宣布本课内容和教学目标。3、安排学生进行准备活动。带领导学生进行韵律操练习,教师在一旁进行指导。指导学生进行各种悬垂姿势的练习。1、教师示范讲解支撑单脚摆越成骑撑及还原的动作要领。2、指导学生进行辅助练习:(1)站立,左臂左腿侧1、按指定地点集合整队,体委整队,报告人数,向教师汇报。2、注意听讲,记住学习目标,自我分组定位。学生在伴奏音乐下进行韵律操练习,有着较浓厚的兴趣。按教师的要求进行练习,同学之间互相帮助完成动作。1、学生认真听教师的讲解、看示范,记住动作要领。2、按要求做辅助练习。(1)体会身体感觉。(2)要求姿势和技术尽组织:[来源:Z+xx+k.Com]同上组织:组织:[来源:学,科,网]○○○○○○○○○○○○○○○○○○○○○○○○○○○○○○○○○○○○单脚摆越成[来源:Z&xx&k.Com]骑撑及还原[来源:Zxxk.Com]素质练习放松活动讲评下课举,身体向右倾斜。(2)在跳箱上做支撑同侧摆越成骑撑。(3)双杠上做支撑,同侧摆越成骑撑及还原。辅助练习3、器械练习:(1)支撑单腿同侧摆越成骑撑(2)骑撑前腿同侧摆越成支撑。组合(3)组合动作:将(1)(2)两个动作连起来完成。比赛(4)组织小组间的比赛[来源:Z|xx|k.Com]教师布置素质练习内容,并讲解练习方法、要求:(1)立定跳远(2)10秒原地快跑[来源:学。科。网Z。X。X。K](3)30米追逐跑纵叉、横叉集合,讲解放松练习内容:跟着音乐做放松操。教师讲解本次课的学习情况,并对学生改进意见。量正确。(3)能较熟练地完成辅助练习。要点:挺身侧倒推手腿摆越。要点:挺身侧倒在熟练掌握以上两个动作的基础上,尝试将它们组合起来进行练习。看哪一组同学完成的最好。按教师要求完成练习:(1)6次(2)3次×2组(3)3次×2组4次×2组听音乐,完成放松操的练习。从教师的讲解中了解自己掌握的情况,并在下次课中有所突破。○○○○○○○○○○[来源:学.科.网]组织:同上组织:○○○○○○○○○○○○○○○○○○○○○○○○○○○组织:○○○○○○○○[来源:Zxxk.Com]○○○○○○○○○○○○[来源:学科网]同上教学后记分组练习,各组组长带领非常认真,组员互相配合。器材单杠两付运动负荷预计050100150200051015202530354045平均心率140练习密度40

1、当您付费下载文档后,您只拥有了使用权限,并不意味着购买了版权,文档只能用于自身使用,不得用于其他商业用途(如 [转卖]进行直接盈利或[编辑后售卖]进行间接盈利)。
2、本站所有内容均由合作方或网友上传,本站不对文档的完整性、权威性及其观点立场正确性做任何保证或承诺!文档内容仅供研究参考,付费前请自行鉴别。
3、如文档内容存在违规,或者侵犯商业秘密、侵犯著作权等,请点击“违规举报”。

碎片内容

支撑单腿摆越成骑撑

您可能关注的文档

确认删除?
VIP
微信客服
  • 扫码咨询
会员Q群
  • 会员专属群点击这里加入QQ群
客服邮箱
回到顶部