电脑桌面
添加小米粒文库到电脑桌面
安装后可以在桌面快捷访问

高考数学145分必读之把关题解析教案 浙教版VIP免费

高考数学145分必读之把关题解析教案 浙教版_第1页
1/10
高考数学145分必读之把关题解析教案 浙教版_第2页
2/10
高考数学145分必读之把关题解析教案 浙教版_第3页
3/10
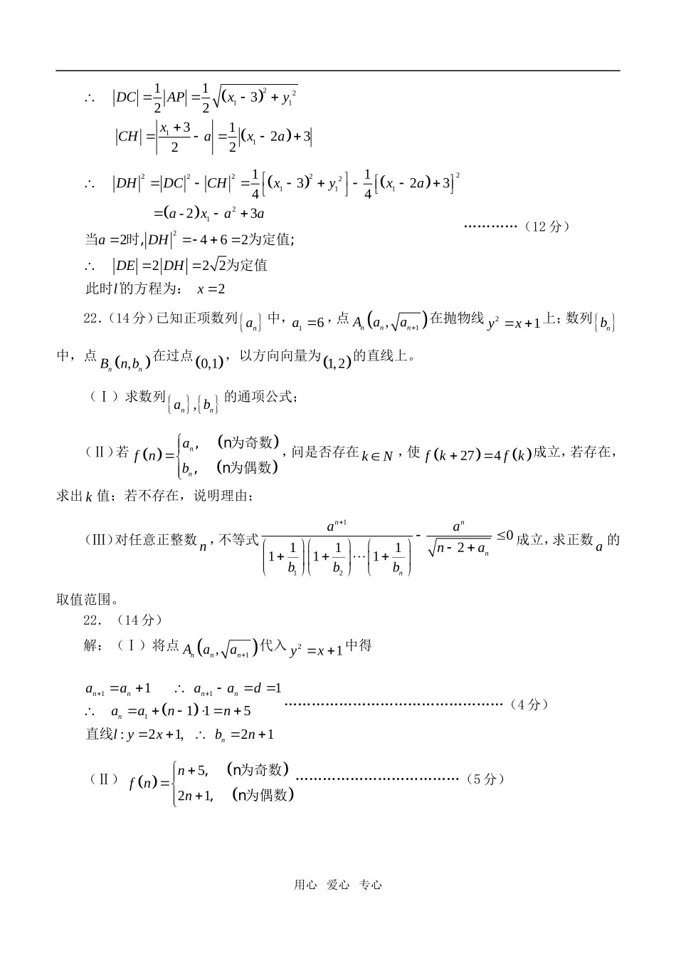
高考数学140分必读之把关题解析30讲(1)1.重庆一模21.(12分)已知抛物线、椭圆和双曲线都经过点1,2M,它们在x轴上有共同焦点,椭圆和双曲线的对称轴是坐标轴,抛物线的顶点为坐标原点。(Ⅰ)求这三条曲线的方程;(Ⅱ)已知动直线l过点3,0P,交抛物线于,AB两点,是否存在垂直于x轴的直线l被以AP为直径的圆截得的弦长为定值?若存在,求出l的方程;若不存在,说明理由。21.(12分)解:(Ⅰ)设抛物线方程为220ypxp,将1,2M代入方程得2p24yx抛物线方程为:………………………………………………(1分)由题意知椭圆、双曲线的焦点为211,0,1,0,FFc=1…………………(2分)对于椭圆,222122112114222aMFMF222222212123222221322222aabacxy椭圆方程为:………………………………(4分)对于双曲线,122222aMFMF222222213222221322222aabcaxy双曲线方程为:………………………………(6分)(Ⅱ)设AP的中点为C,l的方程为:xa,以AP为直径的圆交l于,DE两点,DE中点为H令11113,,,22xyAxyC………………………………………………(7分)用心爱心专心22111111322312322DCAPxyxCHaxa2222221112121132344-2324622222DHDCCHxyxaaxaaaDHDEDHlx当时,为定值;为定值此时的方程为:…………(12分)22.(14分)已知正项数列na中,16a,点1,nnnAaa在抛物线21yx上;数列nb中,点,nnBnb在过点0,1,以方向向量为1,2的直线上。(Ⅰ)求数列,nnab的通项公式;(Ⅱ)若nnafnb,n为奇数,n为偶数,问是否存在kN,使274fkfk成立,若存在,求出k值;若不存在,说明理由;(Ⅲ)对任意正整数n,不等式11202111111nnnnaanabbb成立,求正数a的取值范围。22.(14分)解:(Ⅰ)将点1,nnnAaa代入21yx中得11111115:21,21nnnnnnaaaadaannlyxbn直线…………………………………………(4分)(Ⅱ)521nfnn,n为奇数,n为偶数………………………………(5分)用心爱心专心27274275421,42735227145,24kkfkfkkkkkkkkkk当为偶数时,为奇数,当为奇数时,为偶数,舍去综上,存在唯一的符合条件。……………………(8分)(Ⅲ)由11202111111nnnnaanabbb1212121111111112311111112311111111112512312324241232525nnnnnabbbnfnbbbnfnbbbbnfnnnnnfnbnnn即记22min2523416161416151,14451,315545015nnnnnnfnfnfnfnfa即递增,………………………………(14分)2.南京三模21.(本小题满分12分)将圆O:4yx22上各点的纵坐标变为原来的一半(横坐标不变),得到曲线C.(1)求C的方程;(2)设O为坐标原点,过点)0,3(F的直线l与C交于A、B两点,N为线段AB的中点,延长线段ON交C于点E.用心爱心专心求证:ON2OE的充要条件是3|AB|.21.(本小题满分12分)解:(1)设点)y,x(P,点M的坐标为)y,x(,由题意可知,y2y,xx………………(2分)又,4yx22∴1y4x4y4x2222.所以,点M的轨迹C的方程为1y4x22.………………(4分)(2)设点)y,x(A11,)y,x(B22,点N的坐标为)y,x(00,㈠当直线l与x轴重合时,线段AB的中点N就是原点O,不合题意,舍去;……………...

1、当您付费下载文档后,您只拥有了使用权限,并不意味着购买了版权,文档只能用于自身使用,不得用于其他商业用途(如 [转卖]进行直接盈利或[编辑后售卖]进行间接盈利)。
2、本站所有内容均由合作方或网友上传,本站不对文档的完整性、权威性及其观点立场正确性做任何保证或承诺!文档内容仅供研究参考,付费前请自行鉴别。
3、如文档内容存在违规,或者侵犯商业秘密、侵犯著作权等,请点击“违规举报”。

碎片内容

高考数学145分必读之把关题解析教案 浙教版

您可能关注的文档

雨丝书吧+ 关注
实名认证
内容提供者

乐于和他人分享知识,从事历史教学,热爱教育,高度负责。

确认删除?
VIP
微信客服
  • 扫码咨询
会员Q群
  • 会员专属群点击这里加入QQ群
客服邮箱
回到顶部