电脑桌面
添加小米粒文库到电脑桌面
安装后可以在桌面快捷访问

高三数学第一轮复习 第35课时—平面向量的数量积教案VIP免费

高三数学第一轮复习 第35课时—平面向量的数量积教案_第1页
1/6
高三数学第一轮复习 第35课时—平面向量的数量积教案_第2页
2/6
高三数学第一轮复习 第35课时—平面向量的数量积教案_第3页
3/6
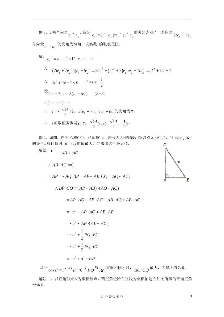
一.课题:平面向量的数量积二.教学目标:掌握平面向量的数量积及其性质和运算率,掌握两向量夹角及两向量垂直的充要条件和向量数量积的简单运用.三.教学重点:平面向量数量积及其应用.四.教学过程:(一)主要知识:1.平面向量数量积的概念;2.平面向量数量积的性质:、;3.向量垂直的充要条件:.(二)主要方法:1.注意向量夹角的概念和两向量夹角的范围;2.垂直的充要条件的应用;3.当角为锐角或钝角,求参数的范围时注意转化的等价性;4.距离,角和垂直可以转化到向量的数量积问题来解决.(三)基础训练:1.下列命题中是正确的有①设向量与不共线,若,则;②;③,则;④若,则2.已知为非零的平面向量.甲:()甲是乙的充分条件但不是必要条件甲是乙的必要条件但不是充分条件甲是乙的充要条件甲既不是乙的充分条件也不是乙的必要条件3.已知向量,如果向量与垂直,则的值为()24.平面向量中,已知,且,则向量_________.5.已知||=||=2,与的夹角为600,则+在上的投影为。用心爱心专心16.设向量满足,则。7.已知向量的方向相同,且,则_______。8.已知向量和的夹角是120°,且,,则=。(四)例题分析:例1.已知平面上三个向量、、的模均为1,它们相互之间的夹角均为120°,(1)求证:⊥;(2)若,求的取值范围.解:(1)∵,且、、之间的夹角均为120°,∴∴(2)∵,即也就是∵,∴所以或.例2.已知:、、是同一平面内的三个向量,其中=(1,2)(1)若||,且,求的坐标;(2)若||=且与垂直,求与的夹角.解:(1)设,由和可得:∴或∴,或(2)即∴,所以∴∵∴.用心爱心专心2例3.设两个向量、,满足,,、的夹角为60°,若向量与向量的夹角为钝角,求实数的取值范围.解:,,∴∴设∴时,与的夹角为,∴的取值范围是。例4.如图,在Rt△ABC中,已知BC=a,若长为2a的线段PQ以点A为中点,问的夹角取何值时的值最大?并求出这个最大值.解法一:故当,即(与方向相同)时,最大,其最大值为0。解法二:以直角顶点A为坐标原点,两直角边所在直线为坐标轴建立如图所示的平面直角坐标系.用心爱心专心3设,则且设点的坐标为,则,故当,即(与方向相同)时,最大,其最大值为0。五.课后作业:1.已知向量,向量则的最大值,最小值分别是()16,04,02.平面直角坐标系中,为坐标原点,已知两点,,若点满足,其中,且,则点的轨迹方程为:()3.已知向量,,那么的值是()14.在中,,的面积是,若,,则()用心爱心专心45.已知为原点,点的坐标分别为,,其中常数,点在线段上,且有,则的最大值为()6.设是双曲线的两个焦点,点在双曲线上,且,则的值等于()2487.设是任意的非零平面向量,且相互不共线,则①;②③不与垂直④中,是真命题的有()(A)①②(B)②③(C)③④(D)②④8.设为平面上四个点,,,,且,=,则=___________________。9.若对个向量存在个不全为零的实数,使得成立,则称向量为“线性相关”.依此规定,能说明,,“线性相关”的实数依次可以取;(写出一组数值即可,不必考虑所有情况).10.向量都是非零向量,且,求向量与的夹角.用心爱心专心511.已知向量,。(1)当,求;(2)若≥对一切实数都成立,求实数的取值范围。12.设,,,,与轴正半轴的夹角为,与轴正半轴的夹角为,且,求.用心爱心专心6

1、当您付费下载文档后,您只拥有了使用权限,并不意味着购买了版权,文档只能用于自身使用,不得用于其他商业用途(如 [转卖]进行直接盈利或[编辑后售卖]进行间接盈利)。
2、本站所有内容均由合作方或网友上传,本站不对文档的完整性、权威性及其观点立场正确性做任何保证或承诺!文档内容仅供研究参考,付费前请自行鉴别。
3、如文档内容存在违规,或者侵犯商业秘密、侵犯著作权等,请点击“违规举报”。

碎片内容

高三数学第一轮复习 第35课时—平面向量的数量积教案

您可能关注的文档

雨丝书吧+ 关注
实名认证
内容提供者

乐于和他人分享知识,从事历史教学,热爱教育,高度负责。

相关文档

确认删除?
VIP
微信客服
  • 扫码咨询
会员Q群
  • 会员专属群点击这里加入QQ群
客服邮箱
回到顶部