电脑桌面
添加小米粒文库到电脑桌面
安装后可以在桌面快捷访问

高中数学教(学)案第10讲:棱锥VIP免费

高中数学教(学)案第10讲:棱锥_第1页
1/11
高中数学教(学)案第10讲:棱锥_第2页
2/11
高中数学教(学)案第10讲:棱锥_第3页
3/11
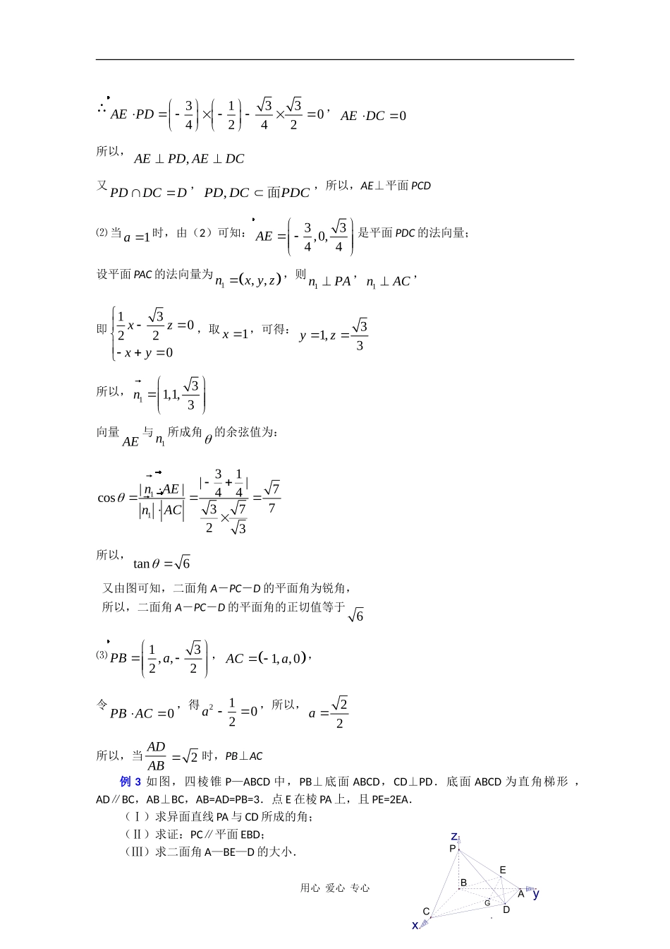
题目第九章(B)直线、平面、简单几何体棱锥高考要求1要使学生理解棱锥、正棱锥的意义,掌握棱锥、正棱锥的性质,会求其侧面积及体积结合例题讲清求体积的常用方法2以棱锥为载体,训练计算能力、想象能力和逻辑推理能力知识点归纳1棱锥的概念:有一个面是多边形,其余各面是有一个公共顶点的三角形,这样的多面体叫棱锥其中有公共顶点的三角形叫棱锥的侧面;多边形叫棱锥的底面或底;各侧面的公共顶点()S,叫棱锥的顶点,顶点到底面所在平面的垂线段()SO,叫棱锥的高(垂线段的长也简称高).2.棱锥的表示:棱锥用顶点和底面各顶点的字母,或用顶点和底面一条对角线端点的字母来表示如图棱锥可表示为SABCDE,或SAC.3.棱锥的分类:(按底面多边形的边数)分别称底面是三角形,四边形,五边形……的棱锥为三棱锥,四棱锥,五棱锥……(如图)4.棱锥的性质:定理:如果棱锥被平行于底面的平面所截,那么所得的截面与底面相似,截面面积与底面面积比等于顶点到截面的距离与棱锥高的平方比.中截面:经过棱锥高的中点且平行于底面的截面,叫棱锥的中截面5.正棱锥:底面是正多边形,顶点在底面上的射影是底面的中心的棱锥叫正棱锥.(1)正棱锥的各侧棱相等,各侧面是全等的等腰三角形,各等腰三角形底边上的高相等(叫正棱锥的斜高).(2)正棱锥的高、斜高、斜高在底面上的射影组成一个直角三角形;正棱锥的高、侧棱、侧棱在底面上的射影也组成一个直角三角形题型讲解例1如图所示,在四棱锥P—ABCD中,底面ABCD是矩形,PA=AB=2,BC=a,又侧棱PA⊥底面ABCD(1)当a为何值时,BD⊥平面PAC?试证明你的结论(2)当a=4时,求D点到平面PBC的距离(3)当a=4时,求直线PD与平面PBC所成的角分析:本题主要考查棱锥的性质,直线、平面所成的角的计算和点到平面的距离等基础知识同时考查空间想象能力、逻辑推理能力和计算能力本题主要是在有关的计算中,推理得到所求的问题,因而尽量选择用坐标法计算解:(1)以A为坐标原点,以AD、AB、AP所在直线分别为x轴、y轴、z轴建立空间直角坐标系,当a=2时,BD⊥AC,又PA⊥BD,故BD⊥平面PAC故a=2(2)当a=4时,D(4,0,0)、C(0,2,0)、C(4,2,0)、P(0,0,2)、用心爱心专心ABCDPxzyFB�=(0,2,-2),BC�=(4,0,0)设平面PBC的法向量为n,则n·PB�=0,n·BC�=0,即(x,y,z)·(0,2,-2)=0,(x,y,z)·(4,0,0)=0,得x=0,y=z,取y=1,故n=(0,1,1)则D点到平面PBC的距离d=|||nDCn|�=2(3)DP�=(4,0,2),cos〈DP�,n〉=||||DPnDPn��=1010>0,证〈DP,n〉=α,设直线PD与平面PBC所成的角为θ,则sinθ=sin(2π-α)=cosα=1010所以直线PD与平面PBC所成的角为arcsin1010例2如图,四棱锥P-ABCD的底面是矩形,侧面PAD是正三角形,且侧面PAD⊥底面ABCD,E为侧棱PD的中点⑴求证:AE⊥平面PCD;⑵若AD=AB,试求二面角A-PC-D的正切值;⑶当ADAB为何值时,PB⊥AC?⑴证:设N为AD中点,Q为BC中点,则因为PAD是正三角形,底面ABCD是矩形,所以,PNAD,QNAD,又因为侧面PAD⊥底面ABCD,所以,PNABCD面,QNPAD面,以N为坐标原点,NA、NQ、NP所在直线分别为,,xyz轴如图建立空间直角坐标系设1AD,ABa,则30,0,2P,1,,02Ba,1,0,02A,1,,02Ca,1,0,02D,13,0,44E∴33,0,44AE�,13,0,22PD�,0,,0DCa�,用心爱心专心ABCDEPABCDEFNPQxzy∴313304242AEPD�,0AEDC�所以,,AEPDAEDC�又PDDCD,,PDDCPDC面,所以,AE⊥平面PCD⑵当1a时,由(2)可知:33,0,44AE�是平面PDC的法向量;设平面PAC的法向量为1,,nxyz,则1nPA�,1nAC�,即130220xzxy,取1x,可得:31,3yz所以,131,1,3n向量AE�与1n所成角的余弦值为:1131||||744cos73723nAEnAC��所以,tan6...

1、当您付费下载文档后,您只拥有了使用权限,并不意味着购买了版权,文档只能用于自身使用,不得用于其他商业用途(如 [转卖]进行直接盈利或[编辑后售卖]进行间接盈利)。
2、本站所有内容均由合作方或网友上传,本站不对文档的完整性、权威性及其观点立场正确性做任何保证或承诺!文档内容仅供研究参考,付费前请自行鉴别。
3、如文档内容存在违规,或者侵犯商业秘密、侵犯著作权等,请点击“违规举报”。

碎片内容

高中数学教(学)案第10讲:棱锥

您可能关注的文档

;绿洲书城+ 关注
实名认证
内容提供者

从事历史教学,热爱教育,高度负责。

确认删除?
VIP
微信客服
  • 扫码咨询
会员Q群
  • 会员专属群点击这里加入QQ群
客服邮箱
回到顶部