电脑桌面
添加小米粒文库到电脑桌面
安装后可以在桌面快捷访问

湖南省长沙市一中高中数学 《2.4.2平面向量数量积的坐标表示、模、夹角》教案 新人教A版必修4VIP免费

湖南省长沙市一中高中数学 《2.4.2平面向量数量积的坐标表示、模、夹角》教案 新人教A版必修4_第1页
1/3
湖南省长沙市一中高中数学 《2.4.2平面向量数量积的坐标表示、模、夹角》教案 新人教A版必修4_第2页
2/3
湖南省长沙市一中高中数学 《2.4.2平面向量数量积的坐标表示、模、夹角》教案 新人教A版必修4_第3页
3/3
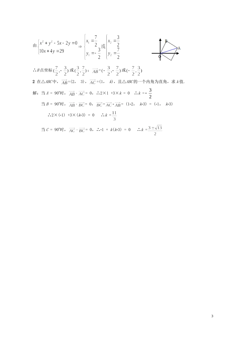
2.4.2平面向量数量积的坐标表示、模、夹角教学目的:1.掌握平面向量数量积运算规律;2.能利用数量积的5个重要性质及数量积运算规律解决有关问题;3.掌握两个向量共线、垂直的几何判断,会证明两向量垂直,以及能解决一些简单问题.教学重点:平面向量数量积及运算规律.教学难点:平面向量数量积的应用教学过程:一、复习引入:1.平面向量数量积(内积)的定义:2.两个向量的数量积的性质:设a、b为两个非零向量,e是与b同向的单位向量.1ea=ae=|a|cos;2abab=03当a与b同向时,ab=|a||b|;当a与b反向时,ab=|a||b|.特别的aa=|a|2或4cos=;5|ab|≤|a||b|3.练习:(1)已知|a|=1,|b|=,且(a-b)与a垂直,则a与b的夹角是()A.60°B.30°C.135°D.45°(2)已知|a|=2,|b|=1,a与b之间的夹角为,那么向量m=a-4b的模为()A.2B.2C.6D.12二、讲解新课:探究:已知两个非零向量,,怎样用和的坐标表示?.1、平面两向量数量积的坐标表示两个向量的数量积等于它们对应坐标的乘积的和.即2.平面内两点间的距离公式(1)设,则或.(2)如果表示向量的有向线段的起点和终点的坐标分别为、,那么(平面内两点间的距离公式)13.向量垂直的判定设,,则4.两向量夹角的余弦()cos=222221212121yxyxyyxx二、讲解范例:例1已知A(1,2),B(2,3),C(2,5),试判断△ABC的形状,并给出证明.例2设a=(5,7),b=(6,4),求a·b及a、b间的夹角θ(精确到1o)分析:为求a与b夹角,需先求a·b及|a|·|b|,再结合夹角θ的范围确定其值.例3已知a=(1,),b=(+1,-1),则a与b的夹角是多少?分析:为求a与b夹角,需先求a·b及|a|·|b|,再结合夹角θ的范围确定其值.解:由a=(1,),b=(+1,-1)有a·b=+1+(-1)=4,|a|=2,|b|=2.记a与b的夹角为θ,则cosθ=又∵0≤θ≤π,∴θ=评述:已知三角形函数值求角时,应注重角的范围的确定.三、课堂练习:1、P107面1、2、3题2、已知A(3,2),B(-1,-1),若点P(x,-)在线段AB的中垂线上,则x=.四、小结:1、2、平面内两点间的距离公式3、向量垂直的判定:设,,则五、课后作业:《习案》作业二十四。思考:1、如图,以原点和A(5,2)为顶点作等腰直角△OAB,使B=90,求点B和向量的坐标.解:设B点坐标(x,y),则=(x,y),=(x5,y2)∵∴x(x5)+y(y2)=0即:x2+y25x2y=0又∵||=||∴x2+y2=(x5)2+(y2)2即:10x+4y=292由∴B点坐标或;=或2在△ABC中,=(2,3),=(1,k),且△ABC的一个内角为直角,求k值.解:当A=90时,=0,∴2×1+3×k=0∴k=23当B=90时,=0,==(12,k3)=(1,k3)∴2×(1)+3×(k3)=0∴k=当C=90时,=0,∴1+k(k3)=0∴k=3

1、当您付费下载文档后,您只拥有了使用权限,并不意味着购买了版权,文档只能用于自身使用,不得用于其他商业用途(如 [转卖]进行直接盈利或[编辑后售卖]进行间接盈利)。
2、本站所有内容均由合作方或网友上传,本站不对文档的完整性、权威性及其观点立场正确性做任何保证或承诺!文档内容仅供研究参考,付费前请自行鉴别。
3、如文档内容存在违规,或者侵犯商业秘密、侵犯著作权等,请点击“违规举报”。

碎片内容

湖南省长沙市一中高中数学 《2.4.2平面向量数量积的坐标表示、模、夹角》教案 新人教A版必修4

您可能关注的文档

星河书苑+ 关注
实名认证
内容提供者

从事历史教学,热爱教育,高度负责。

确认删除?
VIP
微信客服
  • 扫码咨询
会员Q群
  • 会员专属群点击这里加入QQ群
客服邮箱
回到顶部