电脑桌面
添加小米粒文库到电脑桌面
安装后可以在桌面快捷访问

人教版高中数学必修第二册8.2椭圆的简单几何性质3VIP免费

人教版高中数学必修第二册8.2椭圆的简单几何性质3_第1页
1/2
人教版高中数学必修第二册8.2椭圆的简单几何性质3_第2页
2/2
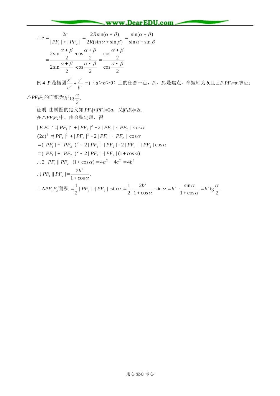
椭圆的简单几何性质3椭圆的定义不仅是推导方程的基础,而且是证题的一把金钥匙.待证题目中有焦点的条件,常从定义出发,寻求证题方法,为证题创造条件,兹举例如下:例1已知P(x0,y0)是椭圆(a>b>0)上的任意一点,F1、F2是焦点,求证:以PF2为直径的圆必和以椭圆长轴为直径的圆相内切.证明设以PF2为直径的圆心为A,半径为r.∵F1、F2为焦点,所以由椭圆定义知|PF1|+|PF2|=2a,|PF2|=2r∴|PF1|+2r=2a,即|PF1|=2(a-r)连结OA,由三角形中位线定理,知|OA|=故以PF2为直径的圆必和以长轴为直径的圆相内切.评注运用椭圆的定义结合三角形中位线定理,使题目得证.例2设P是椭圆(a>b>0)上的一点,F1、F2是椭圆的焦点,且∠F1PF2=90°,求证:椭圆的率心率e≥证明∵P是椭圆上的点,F1、F2是焦点,由椭圆的定义,得|PF1|+|PF2|=2a①在Rt△F1PF2中,由①2,得∴|PF1|·|PF2|=2(a2-c2)②由①和②,据韦达定理逆定理,知|PF1|·|PF2|是方程z2-3az+2(a2-c2)=0的两根,则△=4a2-8(a2-c2)≥0,∴()2≥,即e≥.例3P为椭圆(a>b>0)上的点,F1、F2是椭圆的焦点,e为离心率.若∠PF1F2=α,∠PF2F1=β,求证:证明由椭圆定义,知|PF1|+|PF2|=2a,|F1F2|=2c∵由正弦定理,得|PF1|=2Rsinβ,|PF2|=2Rsinα,|F1F2|=2Rsin(α+β)用心爱心专心例4P是椭圆(a>b>0)上的任意一点,F1、F2是焦点,半短轴为b,且∠F1PF2=α.求证:△PF1F2的面积为证明由椭圆的定义知|PF1|+|PF2|=2a,又|F1F2|=2c.在△PF1F2中,由余弦定理,得用心爱心专心

1、当您付费下载文档后,您只拥有了使用权限,并不意味着购买了版权,文档只能用于自身使用,不得用于其他商业用途(如 [转卖]进行直接盈利或[编辑后售卖]进行间接盈利)。
2、本站所有内容均由合作方或网友上传,本站不对文档的完整性、权威性及其观点立场正确性做任何保证或承诺!文档内容仅供研究参考,付费前请自行鉴别。
3、如文档内容存在违规,或者侵犯商业秘密、侵犯著作权等,请点击“违规举报”。

碎片内容

人教版高中数学必修第二册8.2椭圆的简单几何性质3

确认删除?
VIP
微信客服
  • 扫码咨询
会员Q群
  • 会员专属群点击这里加入QQ群
客服邮箱
回到顶部