电脑桌面
添加小米粒文库到电脑桌面
安装后可以在桌面快捷访问

不动点方法求数列通项VIP免费

不动点方法求数列通项_第1页
1/4
不动点方法求数列通项_第2页
2/4
不动点方法求数列通项_第3页
3/4
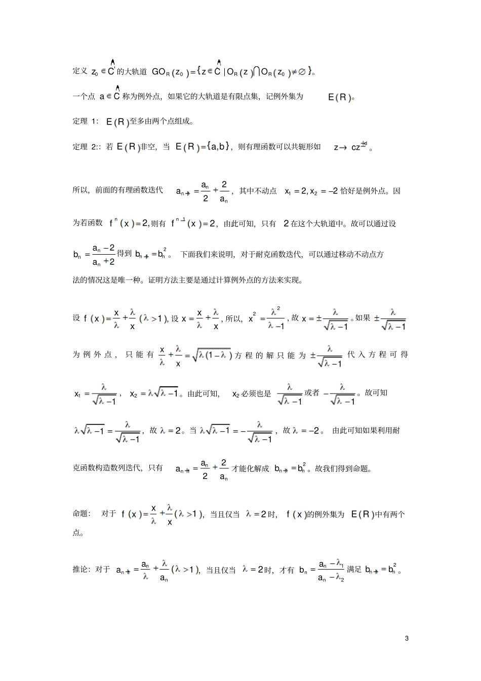
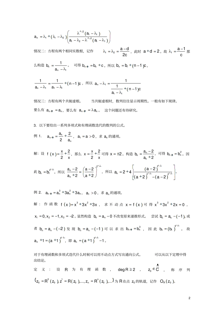
1不动点方法求数列通项第一章:引言本文主要是讨论用不动点的方法来解决数列通项问题。当我们知道了数列的递推公式,然后最关心的就是如何求出数列的通项公式。这个也是竞赛,高考中最常见的问题。本文特别关注用分式函数,“耐克”函数,多项式函数作为非线性数列递推关系的数列通项。不动点方法是大学动力系统的研究中的一种核心方法。本文就是通过结合不动点方法来解决已知某项递推公式的通项公式。主要参考了多项式和有理函数的例外点集的处理方法,给出了一种解决数列迭代通项的问题。同时指出,如果在竞赛和高考命题中,如果利用耐克函数xfxx1迭代形式只有当2时,才能写出通项。第二章:主要结果定义:对函数yfx,若存在0x满足00fxx,那么称0x为函数的不动点。下面介绍不同几类的数列的通项求法。1.1nnapaq,0,1pp设fxpxq,将1nnapaq看做1nnafa。计算fxx可得不动点01qxp,构造1nnqbap。将nb代入na的表达式中可得1nnbpb是一个等比数列。由此可得:11nnbpb,故1111nnqqapapp2.1nnnaabacad,0c且1abcd。若0abcd可以通过上下同除一个常数使得行列式为1。设axbfxcxd,计算不动点可得方程axbxcxd,对于方程20cxdaxb。因此,对于不动点的结构而言,有三种不同情况。情况一:方程有两个不同的实数根,记作12,。那么构造12nnnaba,可得1nnbb。这里2244adadadad或者2244adadadad,到底取哪个值与nb的构造方法有关。由此可得11nnbb,所以1111212nnnaaaa,所以211111211211nnnaaaa情况二:方程有两个相同实数根,记作122adc,此时2ad。故11ac那么构造11nnba。可得1nnbbc。所以11nbbnc。111111nncaa,所以111111nanca情况三:方程有两个共轭虚根。当共轭虚根时,数列往往显示周期性。一般有如下规律。要么有nTnaa,要么有nTnaa。这个问题还有待研究。3.以下要给出一系列多项式和有理函数迭代的数列的公式。例1.122nnnaaa,10aa,求na的通项。解:设22xfxx,那么22xxx可得2x。构造22nnnaba,可得21nnbb。因此121nnbb。所以122222nnnaaaa,所以11122222422nnnnaaaa。例2.32133nnnnaaaa,10a,求na的通项。解:作函数3233fxxxx,求不动点xfx可得32320xxx,1230,1,2xxx。显然构造0nnba不改变原来递推形式。尝试1,nnba或者2nnba发现1nnba可以求出31nnbb,因此131nnbb。故1311nnaa,即1311nnaa。对于有理函数和多项式迭代什么时候可以用不动点方式写出通向公式。可以从以下定理中得出结论。定义:设R为有理函数,deg2R,0zC,称序列010000,,...,,...nnzRzzRzzRz为R在点0z的轨道,记作0ROz。3定义0zC的大轨道00|RRRGOzzCOzOz。一个点aC称为例外点,如果它的大轨道是有限点集,记例外集为ER。定理1:ER至多由两个点组成。定理2::若ER非空,当,ERab,则有理函数可以共轭形如dzcz。所以,前面的有理函数迭代122nnnaaa,其中不动点122,2xx恰好是例外点。因为若函数2,nfx则有12nfx,由此可知,只有2在这个大轨道中。故可以通过设22nnnaba得到21nnbb。下面我们来说明,对于耐克函数迭代,可以通过移动不动点方法的情况这是唯一种。证明方法主要是通过计算例外点的方法来实现。设xfxx1,设xxx,所以,221x,故1x。如果1为例外点,只能有1xx方程的解只能为1代入方程可得11x,21x。由此可知,2x必须也是1或者1。故可知11,故2。当11,故2。由此可知如果利用耐克函数构造数列迭代,只有122nnnaaa才能化解成21nnbb。故我们得到命题。命题:对于1xfxx,当且仅当2时,fx的例外集为ER中有两个点。推论:对于11nnnaaa,当且仅当2时,才有12nnnaba满足21nnbb。4第三章:问题本文只是考虑了较为简单的耐克的函数类,分式函数类和多项式函数类的问题。对于更复杂的函数类该如何处理依旧是一个问题。关键问题在于如何计算何种函数才有两个例外点。第四章:感谢首先感谢组委会给我一个机会参与这个比赛,激发我的数学兴趣,更要感谢丘先生举办如此一个比赛让我们充分发挥自主学习性。同时也要感谢我的母校天山中学对我的教导。以及感谢我的指导老师杨静桦博士的指导。谢谢他推荐我看一些大学的书籍,以至于我会了解很多数列迭代的本质,对数学更加充满了兴趣。参考书目1.任福尧等,复动力解析系统,1997年第一版2.历年高考考卷3.历年希望杯竞赛试卷4.

1、当您付费下载文档后,您只拥有了使用权限,并不意味着购买了版权,文档只能用于自身使用,不得用于其他商业用途(如 [转卖]进行直接盈利或[编辑后售卖]进行间接盈利)。
2、本站所有内容均由合作方或网友上传,本站不对文档的完整性、权威性及其观点立场正确性做任何保证或承诺!文档内容仅供研究参考,付费前请自行鉴别。
3、如文档内容存在违规,或者侵犯商业秘密、侵犯著作权等,请点击“违规举报”。

碎片内容

不动点方法求数列通项

文库当当响+ 关注
实名认证
内容提供者

该用户很懒,什么也没介绍

确认删除?
VIP
微信客服
  • 扫码咨询
会员Q群
  • 会员专属群点击这里加入QQ群
客服邮箱
回到顶部