电脑桌面
添加小米粒文库到电脑桌面
安装后可以在桌面快捷访问

五年级下册数学试题-第三次月考-北师大版VIP免费

五年级下册数学试题-第三次月考-北师大版_第1页
1/4
五年级下册数学试题-第三次月考-北师大版_第2页
2/4
五年级下册数学试题-第三次月考-北师大版_第3页
3/4
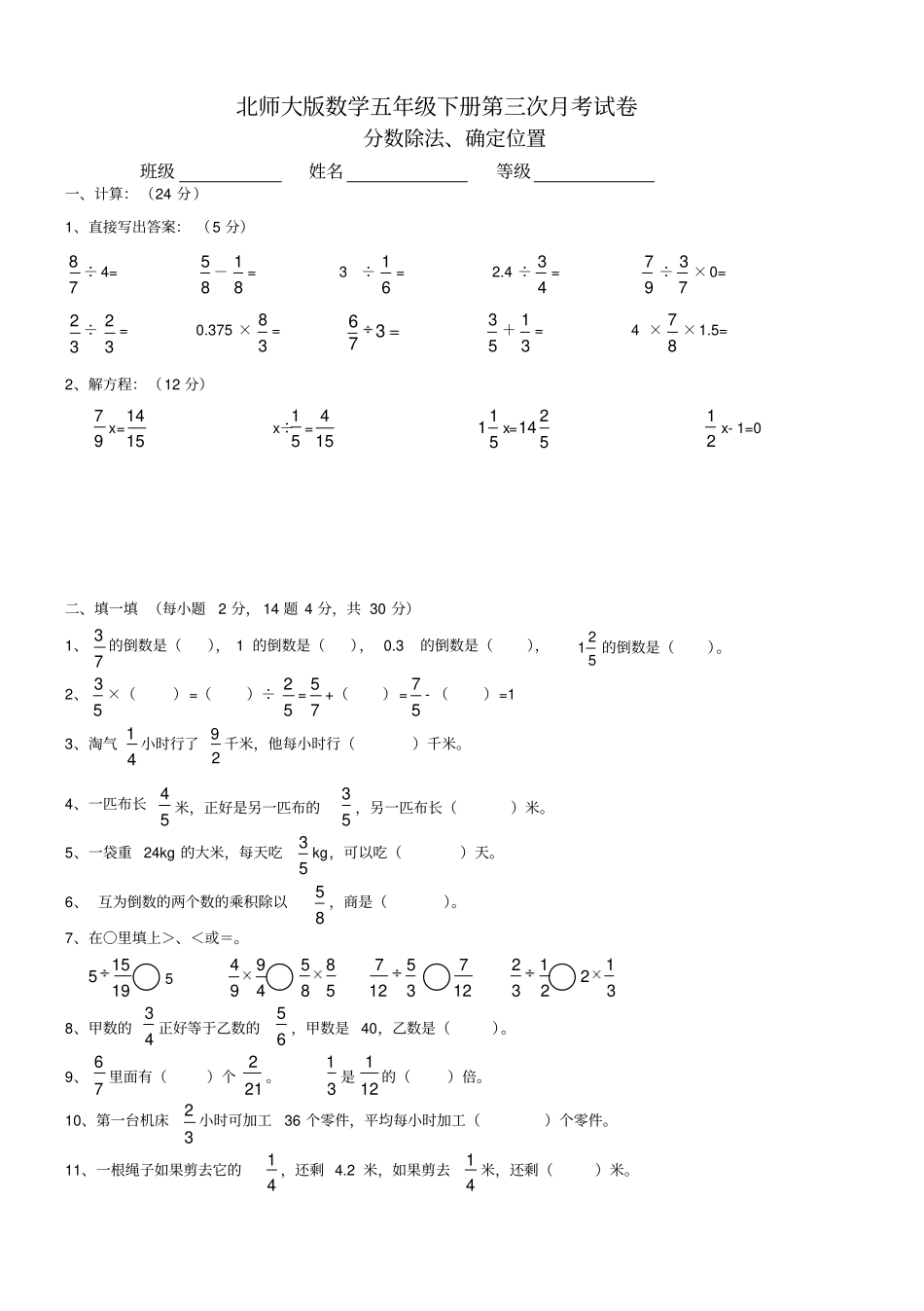
北师大版数学五年级下册第三次月考试卷分数除法、确定位置班级姓名等级一、计算:(24分)1、直接写出答案:(5分)78÷4=85-81=3÷61=2.4÷43=97÷73×0=32÷32=0.375×38=37653+31=4×87×1.5=2、解方程:(12分)97x=1514x÷51=154511x=521421x-1=0二、填一填(每小题2分,14题4分,共30分)1、73的倒数是(),1的倒数是(),0.3的倒数是(),521的倒数是()。2、53×()=()÷52=75+()=57-()=13、淘气41小时行了29千米,他每小时行()千米。4、一匹布长54米,正好是另一匹布的53,另一匹布长()米。5、一袋重24kg的大米,每天吃53kg,可以吃()天。6、互为倒数的两个数的乘积除以85,商是()。7、在○里填上>、<或=。○5○○○8、甲数的43正好等于乙数的65,甲数是40,乙数是()。9、76里面有()个212。31是121的()倍。10、第一台机床32小时可加工36个零件,平均每小时加工()个零件。11、一根绳子如果剪去它的41,还剩4.2米,如果剪去41米,还剩()米。191554994588535127127213231212、把98kg面粉平均装在两个袋子里,每袋重()㎏。每袋面粉是原来面粉的()。13、如右图所示,笑笑在淘气的()偏()度方向上。淘气在笑笑的()偏()度方向上14、如右图,小华从家出发,向正西方向走60米到(),再向()偏()40°走250米到百货公司,再向西偏南()度走150到医院,最后再向正西方向走()米到学校。如果他平均每分钟走60米,小华从家出发需要()分到达学校。三、判一判:(5分)1、数a除以52,商一定大于a。⋯⋯⋯⋯⋯⋯⋯⋯⋯⋯⋯⋯⋯⋯⋯⋯⋯⋯⋯⋯⋯()2、一个数除以51,这个数就缩小为原来的51。⋯⋯⋯⋯⋯⋯⋯⋯⋯⋯⋯⋯⋯⋯⋯⋯()3、把一张纸的53平均分成3份,每一份是这张纸的31。⋯⋯⋯⋯⋯⋯⋯⋯⋯⋯⋯⋯()4、面积为1的长方形两个边长互为倒数。⋯⋯⋯⋯⋯⋯⋯⋯⋯⋯⋯⋯⋯⋯⋯⋯()5、甲从A点出发向北偏东60°方向走了30米到达B点,乙从A点出发向西偏南30度方向走了40米到达C点,那么BC之间的距离是70米。⋯⋯⋯⋯⋯⋯⋯⋯⋯()四、选一选:(10分)1、a是自然数(a≠0),在下列各式中,得数最大是()A.a+31B.a-31C.a×31D.a÷312、一瓶油的质量是21千克,4天用完,平均每天用()千克。A.41B.81C.8D.43、如果阳阳在鹏鹏的南偏西35度,则鹏鹏在阳阳的()。A.南偏西35度B.西偏南35度C.东偏北35度D.东偏北55度4、一辆汽车每分行驶23千米,行驶32时,行驶了()千米。A.60B.1C.80D.9050°40°笑淘北50°40°百货公司医院学校公园小华家80m150m250m60m北5、与12÷54的结果相等的式子是()A.12÷5×4B.12÷4×5C.12÷5.4D.以上都不对五、看图列式计算:(12分)1、2、2、根据描述,在下图中画出路线示意图:从起点出发,向正北方向走30米到路口,再向北偏西60°方向走90米到公园。(要求:1、图中请用1厘米表示30米。2、标出路口和公园。)六、运用知识,解决问题:(26分)1、工程队修完一条隧道的83,正好修了450米,这条隧道长多少米?2、做一个正方体框架正好用了96米长的铁丝,这个正方体框架的棱长是多长?180元?元?吨白菜30吨土豆北3、一台电视打八折后的价格是4000元,这台电视原价是多少元?(列方程解答)4、淘气看一本书,第一天和第二天共看了42页,共看了全书的116,这本书共多少页?淘气第三天看了14页,第三天看的占全书的几分之几?(6分)5、笑笑去上学,10分钟走了全程的65,照这样的速度,她还要走多少分钟才能到学校?

1、当您付费下载文档后,您只拥有了使用权限,并不意味着购买了版权,文档只能用于自身使用,不得用于其他商业用途(如 [转卖]进行直接盈利或[编辑后售卖]进行间接盈利)。
2、本站所有内容均由合作方或网友上传,本站不对文档的完整性、权威性及其观点立场正确性做任何保证或承诺!文档内容仅供研究参考,付费前请自行鉴别。
3、如文档内容存在违规,或者侵犯商业秘密、侵犯著作权等,请点击“违规举报”。

碎片内容

五年级下册数学试题-第三次月考-北师大版

确认删除?
VIP
微信客服
  • 扫码咨询
会员Q群
  • 会员专属群点击这里加入QQ群
客服邮箱
回到顶部