电脑桌面
添加小米粒文库到电脑桌面
安装后可以在桌面快捷访问

仪器分析复习VIP免费

仪器分析复习_第1页
1/8
仪器分析复习_第2页
2/8
仪器分析复习_第3页
3/8
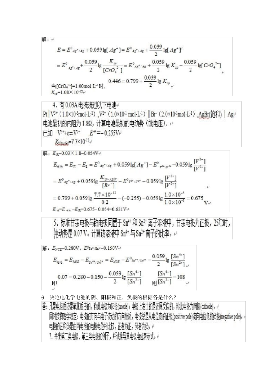
第2章电化学分析法导论6.决定电化学电池的阴、阳极和正、负极的根据各是什么?8.什么是参比电极?在电分析中,对参比电极通常有哪些要求?9.举例说明:在25℃时,某电极的电极电位值,如何由相对于标准氢电极换算为相对于饱和甘汞电极10.一电池由下列物质组成:银电极,未知Ag+溶液,盐桥,饱和KCl溶液,Hg2Cl2(s),Hg(1)。(1)写出其电池符号;(2)哪一个电极是参比电极?哪一个电极是指示电极?(3)盐桥起什么作用?该盐桥内应充以什么电解质?11.阐明并区分下列术语的含义(1)指示电极工作电极(2)极化电极去极化电极第3章电位分析法2.一个天然水样中大约含有1.30l03μg·mL-1Mg2+和4.00l02g·mL-1Ca2+,用Ca2+离子电极直接法测定Ca2+浓度。求有Mg2+存在下测定Ca2+含量的相对误差。已知Ca2+电极对Mg2+的选择性系数为0.014。5.取10mL含氯离子水样,插入氯离子电极和参比电极,测得电动势为200mV,加入0.1mL0.1mol·L-1的NaC1标准溶液后电动势为185mV。已知电极的响应斜率为59mV。求水样中氯离子含量。7.下述电池玻璃电极│H+(未知液或标准缓冲液)‖SCE25℃时测得pHs=4.00的缓冲液的电动势为0.209V。当缓冲液由未知液代替,测得的电动势分别为:(1)0.312V;(2)–0.017V;计算未知液的pHx值。8.某pH计的指针每偏转1个pH单位,电位改变60mV。今欲用响应斜率为50mV/pH的玻璃电极来测定pH=5.00的溶液,采用pH=2.00的标准溶液定位,测定结果的绝对误差为多大(用pH表示)?而采用pH为4.01的标准溶液来定位,其测定结果的绝对误差为多大?由此可得到何重要结论?10.两支性能相同的氟电极,分别插入体积为25mL的含氟试液和体积为50mL的空白溶液中(两溶液含相同的离子强度调节剂)。两溶液间用盐桥相连接,测量此电池的电动势。向空白溶液中滴加浓度为1×10-4mo1·L-1的氟离子标准溶液,直至电池电动势为零,所消耗标准溶液的体积为5.27mL。计算试液的含氟量。11.为什么不能用伏特计或普通电位计来测量玻璃电极组成的电动势?用玻璃电极测量溶液的pH值时,为什么要用标准缓冲溶液校准?12.为什么离子选择性电极对待测离子具有选择性?如何估量这种选择性?14.在电位法中,总离子强度调节缓冲剂的作用是什么?15.为什么在电位分析中,为了保证足够的测量准确度,仪器的输入阻抗应远大于电池的内阻?16.电位滴定法有哪些类型?与普通化学分析中的滴定方法相比有何特点?并说明为什么有这些特点?

1、当您付费下载文档后,您只拥有了使用权限,并不意味着购买了版权,文档只能用于自身使用,不得用于其他商业用途(如 [转卖]进行直接盈利或[编辑后售卖]进行间接盈利)。
2、本站所有内容均由合作方或网友上传,本站不对文档的完整性、权威性及其观点立场正确性做任何保证或承诺!文档内容仅供研究参考,付费前请自行鉴别。
3、如文档内容存在违规,或者侵犯商业秘密、侵犯著作权等,请点击“违规举报”。

碎片内容

仪器分析复习

您可能关注的文档

文库当当响+ 关注
实名认证
内容提供者

该用户很懒,什么也没介绍

确认删除?
VIP
微信客服
  • 扫码咨询
会员Q群
  • 会员专属群点击这里加入QQ群
客服邮箱
回到顶部