电脑桌面
添加小米粒文库到电脑桌面
安装后可以在桌面快捷访问

公务员考试行测数学公式大全VIP免费

公务员考试行测数学公式大全_第1页
1/15
公务员考试行测数学公式大全_第2页
2/15
公务员考试行测数学公式大全_第3页
3/15
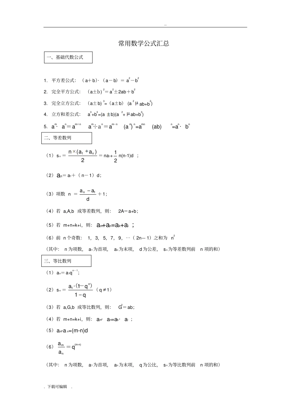
...下载可编辑.常用数学公式汇总一、基础代数公式1.平方差公式:(a+b)·(a-b)=a2-b22.完全平方公式:(a±b)2=a2±2ab+b23.完全立方公式:(a±b)3=(a±b)(a2ab+b2)4.立方和差公式:a3+b3=(ab)(a2+ab+b2)5.am·an=am+nam÷an=am-n(am)n=amn(ab)n=an·bn二、等差数列(1)sn=2)(1naan=na1+21n(n-1)d;(2)an=a1+(n-1)d;(3)项数n=daan1+1;(4)若a,A,b成等差数列,则:2A=a+b;(5)若m+n=k+i,则:am+an=ak+ai;(6)前n个奇数:1,3,5,7,9,⋯(2n—1)之和为n2(其中:n为项数,a1为首项,an为末项,d为公差,sn为等差数列前n项的和)三、等比数列(1)an=a1qn-1;(2)sn=qqan11·1)-((q1)(3)若a,G,b成等比数列,则:G2=ab;(4)若m+n=k+i,则:am·an=ak·ai;(5)am-an=(m-n)d(6)nmaa=q(m-n)(其中:n为项数,a1为首项,an为末项,q为公比,sn为等比数列前n项的和)...下载可编辑.四、不等式(1)一元二次方程求根公式:ax2+bx+c=a(x-x1)(x-x2)其中:x1=aacbb242;x2=aacbb242(b2-4ac0)根与系数的关系:x1+x2=-ab,x1·x2=ac(2)abba2abba2)2(abba222abccba3)3((3)abccba3222abccba33推广:nnnxxxnxxxx......21321(4)一阶导为零法:连续可导函数,在其内部取得最大值或最小值时,其导数为零。(5)两项分母列项公式:)(ammb=(m1—am1)×ab三项分母裂项公式:)2)((amammb=[)(1amm—)2)((1amam]×ab2五、基础几何公式1.勾股定理:a2+b2=c2(其中:a、b为直角边,c为斜边)常用勾股数直角边369121551078直角边4812162012242415斜边510152025132625172.面积公式:正方形=2a长方形=ba三角形=cabahsin2121梯形=hba)(21圆形=R2平行四边形=ah扇形=0360nR23.表面积:正方体=62a长方体=)(2acbcab...下载可编辑.圆柱体=2πr2+2πrh球的表面积=4R24.体积公式正方体=3a长方体=abc圆柱体=Sh=πr2h圆锥=31πr2h球=334R5.若圆锥的底面半径为r,母线长为l,则它的侧面积:S侧=πrl;6.图形等比缩放型:一个几何图形,若其尺度变为原来的m倍,则:1.所有对应角度不发生变化;2.所有对应长度变为原来的m倍;3.所有对应面积变为原来的m2倍;4.所有对应体积变为原来的m3倍。7.几何最值型:1.平面图形中,若周长一定,越接近与圆,面积越大。2.平面图形中,若面积一定,越接近于圆,周长越小。3.立体图形中,若表面积一定,越接近于球,体积越大。4.立体图形中,若体积一定,越接近于球,表面积越小。六、工程问题工作量=工作效率×工作时间;工作效率=工作量÷工作时间;工作时间=工作量÷工作效率;总工作量=各分工作量之和;注:在解决实际问题时,常设总工作量为1或最小公倍数七、几何边端问题(1)方阵问题:1.实心方阵:方阵总人数=(最外层每边人数)2=(外圈人数÷4+1)2=N2最外层人数=(最外层每边人数-1)×42.空心方阵:方阵总人数=(最外层每边人数)2-(最外层每边人数-2×层数)2...下载可编辑.=(最外层每边人数-层数)×层数×4=中空方阵的人数。★无论是方阵还是长方阵:相邻两圈的人数都满足:外圈比内圈多8人。3.N边行每边有a人,则一共有N(a-1)人。4.实心长方阵:总人数=M×N外圈人数=2M+2N-45.方阵:总人数=N2外圈人数=4N-4例:有一个3层的中空方阵,最外层有10人,问全阵有多少人?解:(10-3)×3×4=84(人)(2)排队型:假设队伍有N人,A排在第M位;则其前面有(M-1)人,后面有(N-M)人(3)爬楼型:从地面爬到第N层楼要爬(N-1)楼,从第N层爬到第M层要怕NM层。八、利润问题(1)利润=销售价(卖出价)-成本;利润率=成本利润=成本销售价-成本=成本销售价-1;销售价=成本×(1+利润率);成本=+利润率销售价1。(2)利息=本金×利率×时期;本金=本利和÷(1+利率×时期)。本利和=本金+利息=本金×(1+利率×时期)=期限利率)(本金1;月利率=年利率÷12;月利率×12=年利率。例:某人存款2400元,存期3年,月利率为10.2‰(即月利1分零2毫),三年到期后,本利和共是多少元?”2400×(1+10.2%×36)=2400×1.3672=3281.28(元)九、排列组合(1)排列公式...

1、当您付费下载文档后,您只拥有了使用权限,并不意味着购买了版权,文档只能用于自身使用,不得用于其他商业用途(如 [转卖]进行直接盈利或[编辑后售卖]进行间接盈利)。
2、本站所有内容均由合作方或网友上传,本站不对文档的完整性、权威性及其观点立场正确性做任何保证或承诺!文档内容仅供研究参考,付费前请自行鉴别。
3、如文档内容存在违规,或者侵犯商业秘密、侵犯著作权等,请点击“违规举报”。

碎片内容

公务员考试行测数学公式大全

确认删除?
VIP
微信客服
  • 扫码咨询
会员Q群
  • 会员专属群点击这里加入QQ群
客服邮箱
回到顶部