电脑桌面
添加小米粒文库到电脑桌面
安装后可以在桌面快捷访问

分式及分式方程题型汇总情况VIP免费

分式及分式方程题型汇总情况_第1页
1/9
分式及分式方程题型汇总情况_第2页
2/9
分式及分式方程题型汇总情况_第3页
3/9
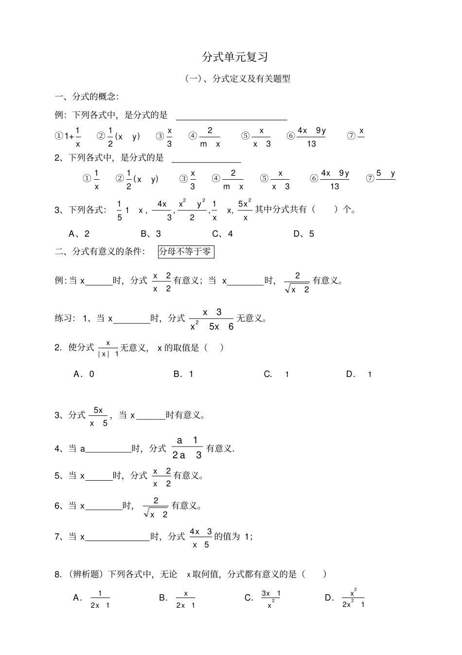
分式单元复习(一)、分式定义及有关题型一、分式的概念:例:下列各式中,是分式的是①1+x1②)(21yx③3x④xm2⑤3xx⑥1394yx⑦x2、下列各式中,是分式的是①x1②)(21yx③3x④xm2⑤3xx⑥1394yx⑦y53、下列各式:xxxxyxxx2225,1,2,34,151其中分式共有()个。A、2B、3C、4D、5二、分式有意义的条件:分母不等于零例:当x时,分式22xx有意义;当x时,22x有意义。练习:1、当x时,分式6532xxx无意义。2.使分式||1xx无意义,x的取值是()A.0B.1C.1D.13、分式55xx,当______x时有意义。4、当a时,分式321aa有意义.5、当x时,分式22xx有意义。6、当x时,22x有意义。7、当x时,分式435xx的值为1;8.(辨析题)下列各式中,无论x取何值,分式都有意义的是()A.121xB.21xxC.231xxD.2221xx9当x为任意实数时,下列分式一定有意义的是()A.23xB.212xC.1xD.211x三、分式的值为零说明:①分式的分子的值等于零;②分母不等于零例1:若分式242xx的值为0,那么x。例2.要使分式9632xxx的值为0,只须().(A)3x(B)3x(C)3x(D)以上答案都不对练习:1、当x时,分式6)2)(2(2xxxx的值为零。2、若分式242xx的值为0,那么x。3、如果分式2||55xxx的值为0,那么x的值是()4.分式12122aaa有意义的条件是,分式的值等于零的条件是。5.已知当2x时,分式axbx无意义,4x时,此分式的值为0,则ab的值等于()A.-6B.-2C.6D.26.使分式x312的值为正的条件是7.若分式9322aa的值为正数,求a的取值围8、当x时,分式xx23的值为负数.9、若关于x的方程ax=3x-5有负数解,则a的取值围是(二)分式的基本性质及有关题型分式的基本性质:分式的分子与分母都乘以(或除以)同一个不等于零的整式,分式的值不变。1.填空:abyaxy;zyzyzyx2)(3)(6;)0(1053aaxyxya1422aa222yxyx=yx.23xx=23xx;2:若A、B表示不等于0的整式,则下列各式成立的是().(A)MBMABA(M为整式)(B)MBMABA(M为整式)(C)22BABA(D))1()1(22xBxABA3、下列各式中,正确的是()A.amabmbB.abab=0C.1111abbaccD.221xyxyxy题型一:化分数系数、小数系数为整数系数【例1】不改变分式的值,把分子、分母的系数化为整数.(1)yxyx41313221(2)baba04.003.02.0练习:1.不改变分式的值,把下列分式的分子、分母的系数化为整数.(1)yxyx5.008.02.003.0(2)baba10141534.0题型二:分式的符号变化:【例2】不改变分式的值,把下列分式的分子、分母的首项的符号变为正号.(1)yxyx(2)baa(3)ba1、不改变分式的值,使下列分式的分子与分母的最高次项的系数是正数。①13232aaaa=②32211xxxx=③1123aaa=2.(探究题)下列等式:①()ababcc;②xyxyxx;③ababcc;④mnmnmm中,成立的是()A.①②B.③④C.①③D.②④题型三:分式的倍数变化:1、如果把分式yxx232中的x,y都扩大3倍,那么分式的值2、.如果把分式63xxy中的x,y都扩大10倍,那么分式的值3、把分式22xyxy中的x,y都扩大2倍,则分式的值()A.不变B.扩大2倍C.扩大4倍D.缩小2倍4、把分式2aba中的a、b都扩大2倍,则分式的值(C).(A)扩大2倍(B)扩大4倍(C)缩小2倍(D)不变.7、若把分式xyyx2中的x和y都扩大3倍,那么分式的值()A、扩大3倍B、不变C、缩小3倍D、缩小6倍2、若x、y的值均扩大为原来的2倍,则下列分式的值保持不变的是()A、yx23B、223yxC、yx232D、2323yx(三)分式的运算一、分式的约分:1、约分(1)2912xxy(2)abba22(3)96922xxx(4)ababa2222.计算:)3(3234422?aaaaaa3.计算:2222223223yxyxyxyxyxyx.4、化简2293mmm的结果是()A、3mmB、3mmC、3mmD、mm35.分式434yxa,2411xx,22xxyyxy,2222aababb中是最简分式的有()A.1个B.2个C.3个D.4个6、下列公式中是最简分式的是()A.21227baB.22()abbaC.22xyxyD.22xyxy二、最简公分母1.在解分式方程:412xx+2=xx212的过程中,去分母时,需方程两边都乘以最简公分母是___________________.2、分式,21xxyy51,212的最简公分母为。3.计算:1123xxxx.三.分式的计算:1、xyyyxx2222、112aaa3计算:(1)42232)()()(abcabccba;(2)22233)()()3(xyxyyxyxa;(3)mnmnmnmnnm22;(4)112aaa;...

1、当您付费下载文档后,您只拥有了使用权限,并不意味着购买了版权,文档只能用于自身使用,不得用于其他商业用途(如 [转卖]进行直接盈利或[编辑后售卖]进行间接盈利)。
2、本站所有内容均由合作方或网友上传,本站不对文档的完整性、权威性及其观点立场正确性做任何保证或承诺!文档内容仅供研究参考,付费前请自行鉴别。
3、如文档内容存在违规,或者侵犯商业秘密、侵犯著作权等,请点击“违规举报”。

碎片内容

分式及分式方程题型汇总情况

您可能关注的文档

确认删除?
VIP
微信客服
  • 扫码咨询
会员Q群
  • 会员专属群点击这里加入QQ群
客服邮箱
回到顶部