电脑桌面
添加小米粒文库到电脑桌面
安装后可以在桌面快捷访问

初三解分式方程专题练习附答案VIP免费

初三解分式方程专题练习附答案_第1页
1/10
初三解分式方程专题练习附答案_第2页
2/10
初三解分式方程专题练习附答案_第3页
3/10
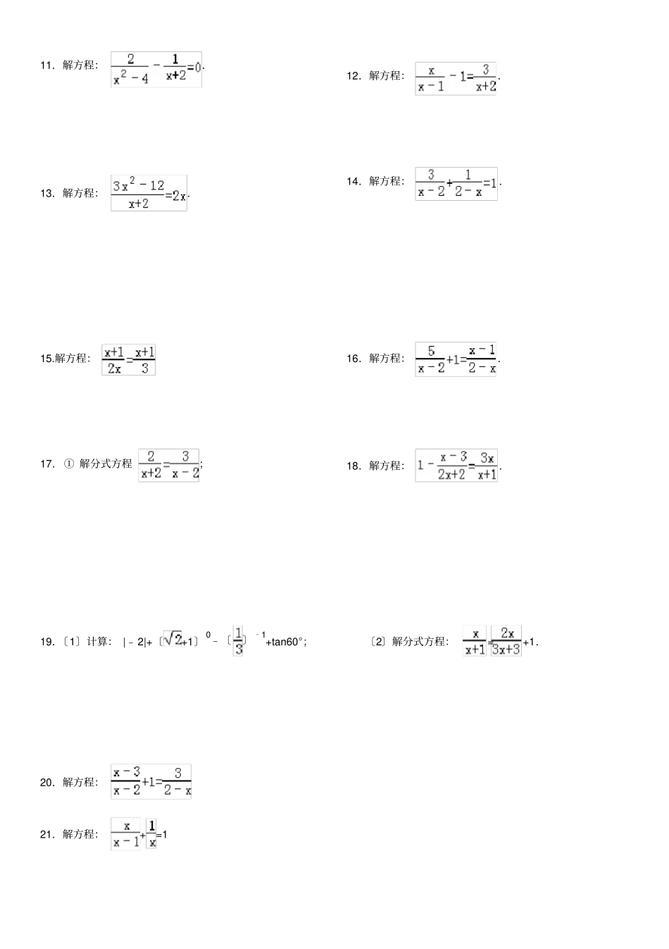
初三解分式方程专题练习一.解答题〔共30小题〕1.解方程:.2.解关于的方程:.3.解方程.4.解方程:=+1.5.解方程:.6.解分式方程:.7.〔2021?台州〕解方程:.8.解方程:.9.解分式方程:.10.解方程:.11.解方程:.12.解方程:.13.解方程:.14.解方程:.15.解方程:16.解方程:.17.①解分式方程;18.解方程:.19.〔1〕计算:|﹣2|+〔+1〕0﹣〔〕﹣1+tan60°;〔2〕解分式方程:=+1.20.解方程:21.解方程:+=122.解方程:.23.解分式方程:24.解方程:25.解方程:26.解方程:+=127.解方程:28.解方程:29.解方程:30.解分式方程:.初三解分式方程专题练习答案及评分标准一.解答题〔共30小题〕1.解方程:.解答:解:方程两边都乘以y〔y﹣1〕,得2y2+y〔y﹣1〕=〔y﹣1〕〔3y﹣1〕,2y2+y2﹣y=3y2﹣4y+1,3y=1,解得y=,检验:当y=时,y〔y﹣1〕=×〔﹣1〕=﹣≠0,∴y=是原方程的解,∴原方程的解为y=.2.解关于的方程:.解答:解:方程的两边同乘〔x+3〕〔x﹣1〕,得x〔x﹣1〕=〔x+3〕〔x﹣1〕+2〔x+3〕,整理,得5x+3=0,解得x=﹣.检验:把x=﹣代入〔x+3〕〔x﹣1〕≠0.∴原方程的解为:x=﹣.3.解方程.解答:解:两边同时乘以〔x+1〕〔x﹣2〕,得x〔x﹣2〕﹣〔x+1〕〔x﹣2〕=3.〔3分〕解这个方程,得x=﹣1.〔7分〕检验:x=﹣1时〔x+1〕〔x﹣2〕=0,x=﹣1不是原分式方程的解,∴原分式方程无解.〔8分〕4.解方程:=+1.解答:解:原方程两边同乘2〔x﹣1〕,得2=3+2〔x﹣1〕,解得x=,检验:当x=时,2〔x﹣1〕≠0,∴原方程的解为:x=.5.〔2021?威海〕解方程:.解答:解:方程的两边同乘〔x﹣1〕〔x+1〕,得3x+3﹣x﹣3=0,解得x=0.检验:把x=0代入〔x﹣1〕〔x+1〕=﹣1≠0.∴原方程的解为:x=0.6.〔2021?潼南县〕解分式方程:.解答:解:方程两边同乘〔x+1〕〔x﹣1〕,得x〔x﹣1〕﹣〔x+1〕=〔x+1〕〔x﹣1〕〔2分〕化简,得﹣2x﹣1=﹣1〔4分〕解得x=0〔5分〕检验:当x=0时〔x+1〕〔x﹣1〕≠0,∴x=0是原分式方程的解.〔6分〕7.〔2021?台州〕解方程:.解答:解:去分母,得x﹣3=4x〔4分〕移项,得x﹣4x=3,合并同类项,系数化为1,得x=﹣1〔6分〕经检验,x=﹣1是方程的根〔8分〕.8.〔2021?随州〕解方程:.解答:解:方程两边同乘以x〔x+3〕,得2〔x+3〕+x2=x〔x+3〕,2x+6+x2=x2+3x,∴x=6检验:把x=6代入x〔x+3〕=54≠0,∴原方程的解为x=6.9.〔2021?陕西〕解分式方程:.解答:解:去分母,得4x﹣〔x﹣2〕=﹣3,去括号,得4x﹣x+2=﹣3,移项,得4x﹣x=﹣2﹣3,合并,得3x=﹣5,化系数为1,得x=﹣,检验:当x=﹣时,x﹣2≠0,∴原方程的解为x=﹣.10.〔2021?綦江县〕解方程:.解答:解:方程两边都乘以最简公分母〔x﹣3〕〔x+1〕得:3〔x+1〕=5〔x﹣3〕,解得:x=9,检验:当x=9时,〔x﹣3〕〔x+1〕=60≠0,∴原分式方程的解为x=9.11.〔2021?攀枝花〕解方程:.解答:解:方程的两边同乘〔x+2〕〔x﹣2〕,得2﹣〔x﹣2〕=0,解得x=4.检验:把x=4代入〔x+2〕〔x﹣2〕=12≠0.∴原方程的解为:x=4.12.〔2021?宁夏〕解方程:.解答:解:原方程两边同乘〔x﹣1〕〔x+2〕,得x〔x+2〕﹣〔x﹣1〕〔x+2〕=3〔x﹣1〕,展开、整理得﹣2x=﹣5,解得x=2.5,检验:当x=2.5时,〔x﹣1〕〔x+2〕≠0,∴原方程的解为:x=2.5.13.〔2021?茂名〕解分式方程:.解答:解:方程两边乘以〔x+2〕,得:3x2﹣12=2x〔x+2〕,〔1分〕3x2﹣12=2x2+4x,〔2分〕x2﹣4x﹣12=0,〔3分〕〔x+2〕〔x﹣6〕=0,〔4分〕解得:x1=﹣2,x2=6,〔5分〕检验:把x=﹣2代入〔x+2〕=0.那么x=﹣2是原方程的增根,检验:把x=6代入〔x+2〕=8≠0.∴x=6是原方程的根〔7分〕.14.〔2021?昆明〕解方程:.解答:解:方程的两边同乘〔x﹣2〕,得3﹣1=x﹣2,解得x=4.检验:把x=4代入〔x﹣2〕=2≠0.∴原方程的解为:x=4.15.〔2021?菏泽〕〔1〕解方程:解答:〔1〕解:原方程两边同乘以6x,得3〔x+1〕=2x?〔x+1〕整理得2x2﹣x﹣3=0〔3分〕解得x=﹣1或检验:把x=﹣1代入6x=﹣6≠0,把x=代入6x=9≠0,∴x=﹣1或是原方程的解,故原方程的解为x=﹣1或〔6分...

1、当您付费下载文档后,您只拥有了使用权限,并不意味着购买了版权,文档只能用于自身使用,不得用于其他商业用途(如 [转卖]进行直接盈利或[编辑后售卖]进行间接盈利)。
2、本站所有内容均由合作方或网友上传,本站不对文档的完整性、权威性及其观点立场正确性做任何保证或承诺!文档内容仅供研究参考,付费前请自行鉴别。
3、如文档内容存在违规,或者侵犯商业秘密、侵犯著作权等,请点击“违规举报”。

碎片内容

初三解分式方程专题练习附答案

确认删除?
VIP
微信客服
  • 扫码咨询
会员Q群
  • 会员专属群点击这里加入QQ群
客服邮箱
回到顶部