电脑桌面
添加小米粒文库到电脑桌面
安装后可以在桌面快捷访问

初中数学各种公式VIP免费

初中数学各种公式_第1页
1/9
初中数学各种公式_第2页
2/9
初中数学各种公式_第3页
3/9
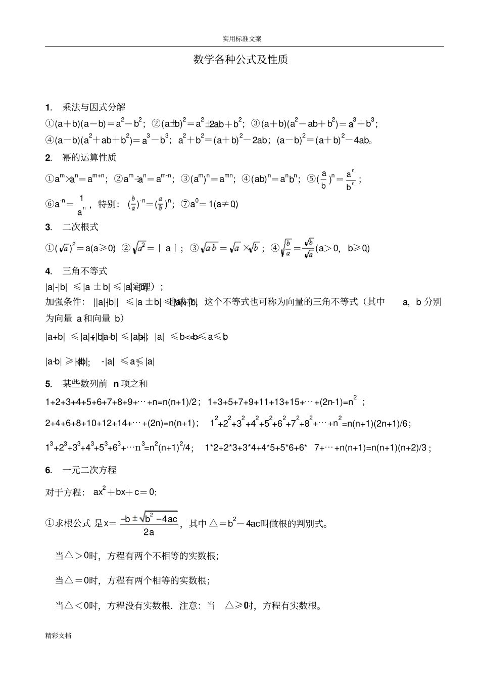
实用标准文案精彩文档数学各种公式及性质1.乘法与因式分解①(a+b)(a-b)=a2-b2;②(a±b)2=a2±2ab+b2;③(a+b)(a2-ab+b2)=a3+b3;④(a-b)(a2+ab+b2)=a3-b3;a2+b2=(a+b)2-2ab;(a-b)2=(a+b)2-4ab。2.幂的运算性质①am×an=am+n;②am÷an=am-n;③(am)n=amn;④(ab)n=anbn;⑤(ab)n=nnab;⑥a-n=1na,特别:()-n=()n;⑦a0=1(a≠0)。3.二次根式①()2=a(a≥0);②=丨a丨;③=×;④=(a>0,b≥0)。4.三角不等式|a|-|b|≤|a±b|≤|a|+|b|(定理);加强条件:||a|-|b||≤|a±b|≤|a|+|b|也成立,这个不等式也可称为向量的三角不等式(其中a,b分别为向量a和向量b)|a+b|≤|a|+|b|;|a-b|≤|a|+|b|;|a|≤b<=>-b≤a≤b;|a-b|≥|a|-|b|;-|a|≤a≤|a|;5.某些数列前n项之和1+2+3+4+5+6+7+8+9+⋯+n=n(n+1)/2;1+3+5+7+9+11+13+15+⋯+(2n-1)=n2;2+4+6+8+10+12+14+⋯+(2n)=n(n+1);12+22+32+42+52+62+72+82+⋯+n2=n(n+1)(2n+1)/6;13+23+33+43+53+63+⋯n3=n2(n+1)2/4;1*2+2*3+3*4+4*5+5*6+6*7+⋯+n(n+1)=n(n+1)(n+2)/3;6.一元二次方程对于方程:ax2+bx+c=0:①求根公式是x=242bbaca,其中△=b2-4ac叫做根的判别式。当△>0时,方程有两个不相等的实数根;当△=0时,方程有两个相等的实数根;当△<0时,方程没有实数根.注意:当△≥0时,方程有实数根。实用标准文案精彩文档②若方程有两个实数根x1和x2,则二次三项式ax2+bx+c可分解为a(x-x1)(x-x2)。③以a和b为根的一元二次方程是x2-(a+b)x+ab=0。7.一次函数一次函数y=kx+b(k≠0)的图象是一条直线(b是直线与y轴的交点的纵坐标,称为截距)。①当k>0时,y随x的增大而增大(直线从左向右上升);②当k<0时,y随x的增大而减小(直线从左向右下降);③特别地:当b=0时,y=kx(k≠0)又叫做正比例函数(y与x成正比例),图象必过原点。8.反比例函数反比例函数y=(k≠0)的图象叫做双曲线。①当k>0时,双曲线在一、三象限(在每一象限内,从左向右降);②当k<0时,双曲线在二、四象限(在每一象限内,从左向右上升)。9.二次函数(1).定义:一般地,如果cbacbxaxy,,(2是常数,)0a,那么y叫做x的二次函数。(2).抛物线的三要素:开口方向、对称轴、顶点。①a的符号决定抛物线的开口方向:当0a时,开口向上;当0a时,开口向下;a相等,抛物线的开口大小、形状相同。②平行于y轴(或重合)的直线记作hx.特别地,y轴记作直线0x。(3).几种特殊的二次函数的图像特征如下:函数解析式开口方向对称轴顶点坐标2axy当0a时开口向上当0a时开口向下0x(y轴)(0,0)kaxy20x(y轴)(0,k)2hxayhx(h,0)khxay2hx(h,k)cbxaxy2abx2(abacab4422,)(4).求抛物线的顶点、对称轴的方法实用标准文案精彩文档①公式法:abacabxacbxaxy442222,∴顶点是),(abacab4422,对称轴是直线abx2。②配方法:运用配方的方法,将抛物线的解析式化为khxay2的形式,得到顶点为(h,k),对称轴是直线hx。③运用抛物线的对称性:由于抛物线是以对称轴为轴的轴对称图形,对称轴与抛物线的交点是顶点。若已知抛物线上两点12(,)(,)、xyxy(及y值相同),则对称轴方程可以表示为:122xxx(5).抛物线cbxaxy2中,cba,,的作用①a决定开口方向及开口大小,这与2axy中的a完全一样。②b和a共同决定抛物线对称轴的位置.由于抛物线cbxaxy2的对称轴是直线。abx2,故:①0b时,对称轴为y轴;②0ab(即a、b同号)时,对称轴在y轴左侧;③0ab(即a、b异号)时,对称轴在y轴右侧。③c的大小决定抛物线cbxaxy2与y轴交点的位置。当0x时,cy,∴抛物线cbxaxy2与y轴有且只有一个交点(0,c):①0c,抛物线经过原点;②0c,与y轴交于正半轴;③0c,与y轴交于负半轴.以上三点中,当结论和条件互换时,仍成立.如抛物线的对称轴在y轴右侧,则0ab。(6).用待定系数法求二次函数的解析式①一般式:cbxaxy2.已知图像上三点或三对x、y的值,通常选择一般式.②顶点式:khxay2.已知图像的顶点或对称轴,通常选择顶点式。③交点式:已知图像与x轴的交点坐标1x、2x,通常选用交点式:21xxxxay。(7).直线与抛物线的交点①y轴与抛物线cbxaxy2得交点为...

1、当您付费下载文档后,您只拥有了使用权限,并不意味着购买了版权,文档只能用于自身使用,不得用于其他商业用途(如 [转卖]进行直接盈利或[编辑后售卖]进行间接盈利)。
2、本站所有内容均由合作方或网友上传,本站不对文档的完整性、权威性及其观点立场正确性做任何保证或承诺!文档内容仅供研究参考,付费前请自行鉴别。
3、如文档内容存在违规,或者侵犯商业秘密、侵犯著作权等,请点击“违规举报”。

碎片内容

初中数学各种公式

您可能关注的文档

文库响当当+ 关注
实名认证
内容提供者

该用户很懒,什么也没介绍

确认删除?
VIP
微信客服
  • 扫码咨询
会员Q群
  • 会员专属群点击这里加入QQ群
客服邮箱
回到顶部