电脑桌面
添加小米粒文库到电脑桌面
安装后可以在桌面快捷访问

初中数学正负数的加减乘除运算测验题VIP免费

初中数学正负数的加减乘除运算测验题_第1页
1/4
初中数学正负数的加减乘除运算测验题_第2页
2/4
初中数学正负数的加减乘除运算测验题_第3页
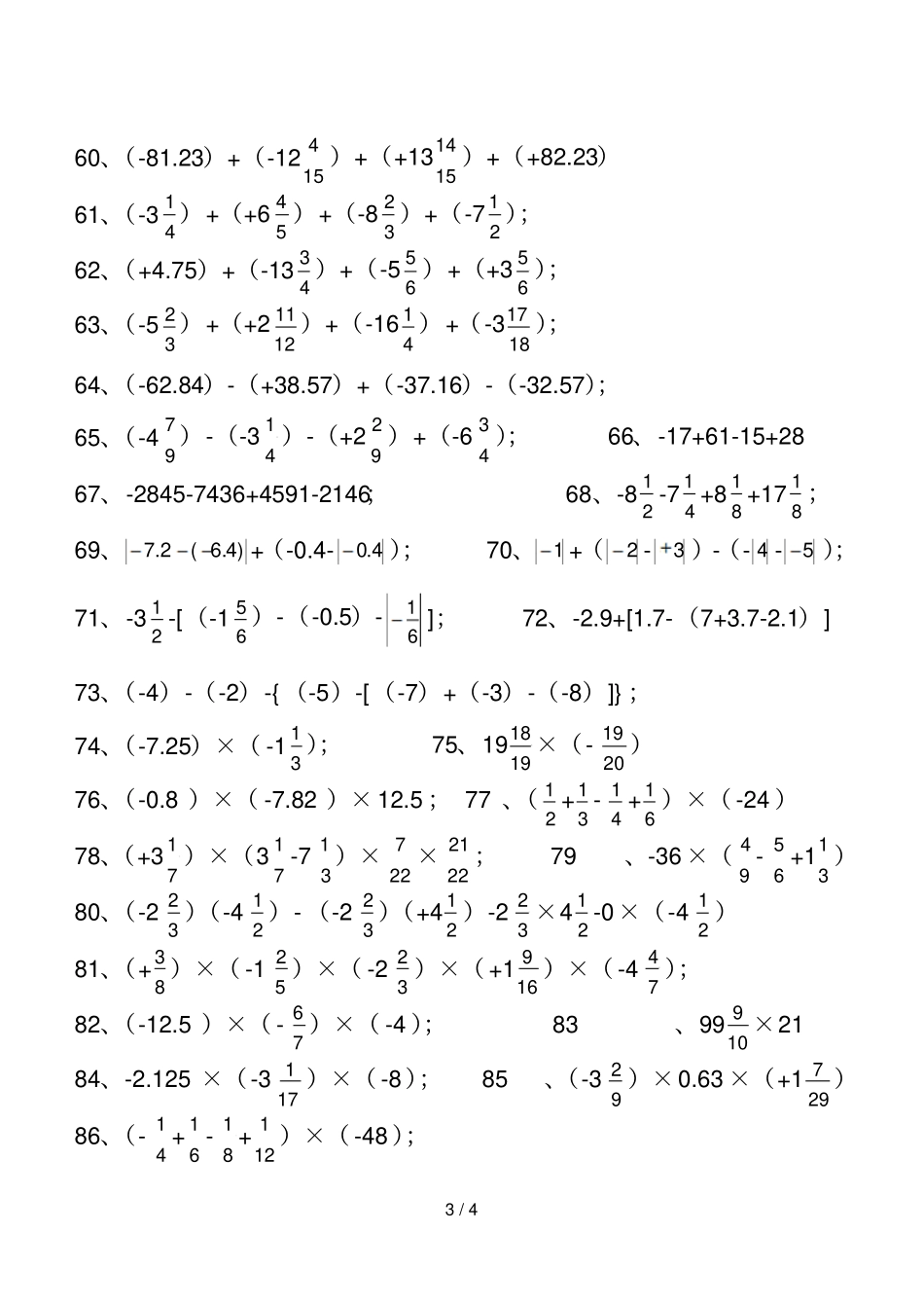
3/4
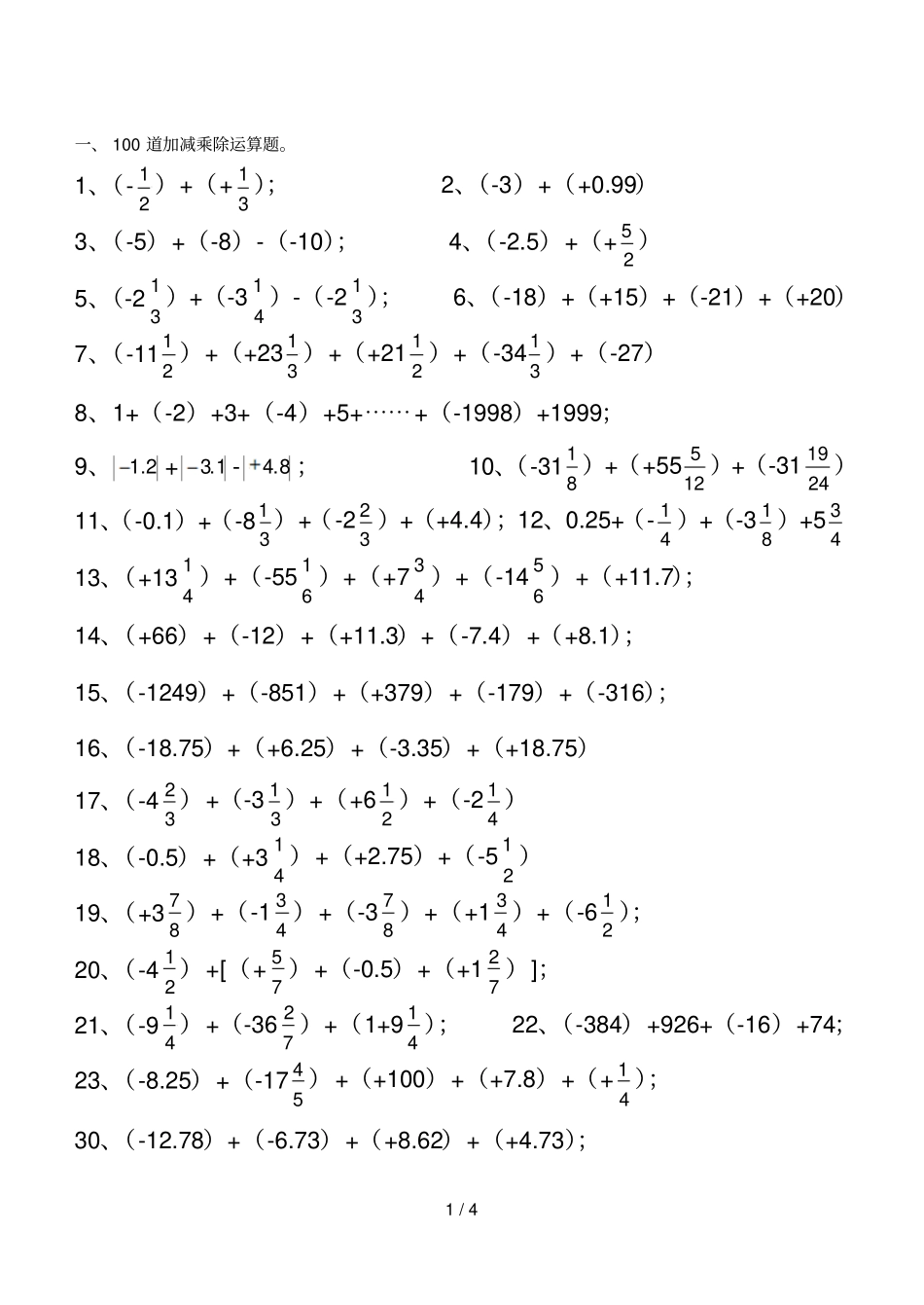
1/4一、100道加减乘除运算题。1、(-21)+(+31);2、(-3)+(+0.99)3、(-5)+(-8)-(-10);4、(-2.5)+(+25)5、(-231)+(-341)-(-231);6、(-18)+(+15)+(-21)+(+20)7、(-1121)+(+2331)+(+2121)+(-3431)+(-27)8、1+(-2)+3+(-4)+5+⋯⋯+(-1998)+1999;9、2.1+1.3-8.4;10、(-3181)+(+55125)+(-312419)11、(-0.1)+(-831)+(-232)+(+4.4);12、0.25+(-41)+(-381)+54313、(+1341)+(-5561)+(+743)+(-1465)+(+11.7);14、(+66)+(-12)+(+11.3)+(-7.4)+(+8.1);15、(-1249)+(-851)+(+379)+(-179)+(-316);16、(-18.75)+(+6.25)+(-3.35)+(+18.75)17、(-432)+(-331)+(+621)+(-241)18、(-0.5)+(+341)+(+2.75)+(-521)19、(+387)+(-143)+(-387)+(+143)+(-621);20、(-421)+[(+75)+(-0.5)+(+172)];21、(-941)+(-3672)+(1+941);22、(-384)+926+(-16)+74;23、(-8.25)+(-1754)+(+100)+(+7.8)+(+41);30、(-12.78)+(-6.73)+(+8.62)+(+4.73);2/431、(+221)+(-331)+(+521)+(-932);32、0+(-8.2)+)52()14(+312+323;33、(-11)+12+(-7)+20;34、37+(-6)+(-90)+17;35、2.3+(-1.2)+(-0.8)+(-2.3);36、(-341)+431+(+441)+(+132);37、0.75+21+(-343)+(-121)38、1241+2761+(-2841)+(-3961)39、(-341)-(-231);40、(-1132)-236141、-(-21)-61-31-125142、-(+341)-(-451)43、(-2.1)-(-4.8)44、(-32.6)-(-27.8)-(-9.2)45、(-32.6)-(-27.8)-(-9.2)46、-41-(-29)47、(-729)-(-279)48、-(+341)-(-451)49、(-21)-(-131)50、132-(+152)-(-34)-(-0.6)-(+353)51、(-5)-(-3)+(-4)-(-1)52、(-3)-(-2)+(-6)-(-9)53、-0.7575+0.5656-0.2121+0.4040-0.323254、(-487)-(-521)+(-441)-(+381)55、-3231+541+371-541+1276;56、(+21)-(-21)-(-43)57、(+243)-(-121)+(-65)-(-83)-(+432)58、0-(+8)+(-2.7)-(+5);59、(-1532)-[(-1332)+(-3152)+14]3/460、(-81.23)+(-12154)+(+131514)+(+82.23)61、(-341)+(+654)+(-832)+(-721);62、(+4.75)+(-1343)+(-565)+(+365);63、(-532)+(+21211)+(-1641)+(-31817);64、(-62.84)-(+38.57)+(-37.16)-(-32.57);65、(-497)-(-341)-(+292)+(-643);66、-17+61-15+2867、-2845-7436+4591-2146;68、-821-741+881+1781;69、)4.6(2.7+(-0.4-4.0);70、1+(2-3)-(-4-5);71、-321-[(-165)-(-0.5)-61];72、-2.9+[1.7-(7+3.7-2.1)]73、(-4)-(-2)-{(-5)-[(-7)+(-3)-(-8)]};74、(-7.25)×(-131);75、191918×(-2019)76、(-0.8)×(-7.82)×12.5;77、(21+31-41+61)×(-24)78、(+371)×(371-731)×227×2221;79、-36×(94-65+131)80、(-232)(-421)-(-232)(+421)-232×421-0×(-421)81、(+83)×(-152)×(-232)×(+1169)×(-474);82、(-12.5)×(-76)×(-4);83、99109×2184、-2.125×(-3171)×(-8);85、(-392)×0.63×(+1297)86、(-41+61-81+121)×(-48);4/487、3.228×(-7)+(-3.272)×7-(-1.5)×7;88、(-83)×16+0.5×(-5)×(-4)-(-24)×(-245);89、(-301)÷(32-101+61-52)90、(-421)÷(61-143+32-72)91、22-5×51+2;92、(-3)-[(-2)+(1-0.2÷53)÷(-31)]93、-72+2×(-3)2+(-6)÷(-31)2;94、1÷[(-2)2×0.52-(-2.24)÷(-2)3]-118795、1-21×[3×(-32)2-(-1)4]+41÷(-31)3;96、(-125)÷3+(-62)÷3+(+187)÷3;97、(-4201)×(-1.25)÷(-21)3÷(-10)×(-31)4×0.1298、-(-4.5)÷(21-0.25)2-3.5÷(-0.25)299、[52×35+85÷43×54-(-21)×(31)2]×53100、(-4.66)×94-5.34÷49+5×(32)2+0×5671×81;

1、当您付费下载文档后,您只拥有了使用权限,并不意味着购买了版权,文档只能用于自身使用,不得用于其他商业用途(如 [转卖]进行直接盈利或[编辑后售卖]进行间接盈利)。
2、本站所有内容均由合作方或网友上传,本站不对文档的完整性、权威性及其观点立场正确性做任何保证或承诺!文档内容仅供研究参考,付费前请自行鉴别。
3、如文档内容存在违规,或者侵犯商业秘密、侵犯著作权等,请点击“违规举报”。

碎片内容

初中数学正负数的加减乘除运算测验题

您可能关注的文档

文库响当当+ 关注
实名认证
内容提供者

该用户很懒,什么也没介绍

确认删除?
VIP
微信客服
  • 扫码咨询
会员Q群
  • 会员专属群点击这里加入QQ群
客服邮箱
回到顶部