电脑桌面
添加小米粒文库到电脑桌面
安装后可以在桌面快捷访问

数值分析计算方法_第二章作业VIP免费

数值分析计算方法_第二章作业_第1页
1/8
数值分析计算方法_第二章作业_第2页
2/8
数值分析计算方法_第二章作业_第3页
3/8
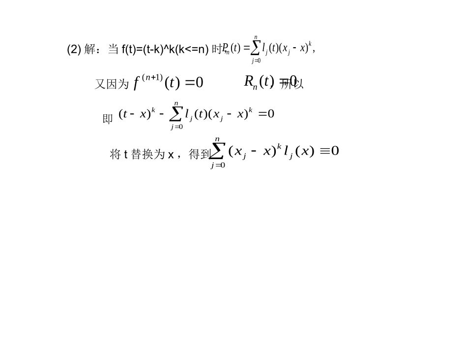
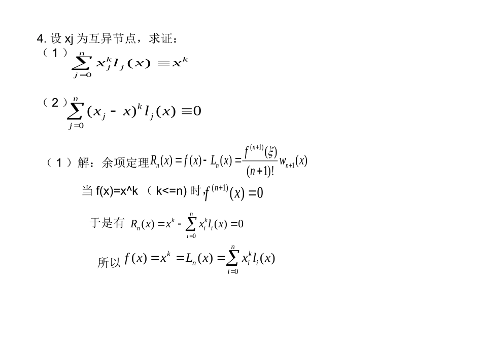
第二章作业题答案1.当x=1,-1,2时,f(x)=0,-3,4,求f(x)的二次差值多项式(1)用单项式基底(2)用拉格朗日插值基底(1)解:设则a+b+c=0a-b+c=-3a+2b+4c=4解得所以(2)解:1200102()()(1)(2)(1)(2)()()()(11)(12)2xxxxxxxxlxxxxx1(1)(2)()6xxlx2(1)(1)()3xxlx20537()()623nnkkkLxylxxx2()fxabxcx735,,326abc2735()326fxxx4.设xj为互异节点,求证:(1)0()nkkjjjxlxx(2)0()()0nkjjjxxlx(1)解:余项定理(1)1()()()()()(1)!nnnnfRxfxLxwxn当f(x)=x^k(k<=n)时,(1)()0nfx于是有0()()0nkkniiiRxxxlx所以0()()()nkkniiifxxLxxlx(2)解:当f(t)=(t-k)^k(k<=n)时,0()()(),nknjjjPtltxx(1)()0nft又因为,所以()0nRt即0()()()0nkkjjjtxltxx将t替换为x,得到0()()0nkjjjxxlx5.设且f(a)=f(b)=0,求证:2(),fxCab2''1max()()max()8axbaxbfxbafx解:()()()nnRxfxLx''()()()()2!nfRxxaxb()()()()()0nfafbLxxbxaabba所以''()()()()2!ffxxaxb''2''2''()11max()max()()()()()max()2!88axbaxbaxbffxxaxbbafbafx6.在-4<=x<=4上给出f(x)=e^x的等距节点函数表,若用二次插值求e^x的近似值,要求截断误差不超过10^-6,问使用函数表的步长h应取多少?解:假设节点取000,,xhxxh(3)23000()()()()()()3!6feRxwxxxhxxxxh2000()()()()6eRxxxhxxxxh令0txx则322()()6eRttht当t=时,上式有最大值33h3239h则43236223()()10669eeRtthth解得36.58*10h13.求次数小于等于3的多项式P(x),使满足条件:''''''00000011()(),()(),()(),()()pxfxPxfxPxfxpxfx解:设'''23000000()()()()()()()2!fxPxfxfxxxxxaxxa为待定系数,这样的P(x)显然满足前三个条件,将第四个条件代入,可以求解出:'''201001010310()()()()()()2()fxfxfxfxxxxxaxx将a带回到P(x)中即可14.求次数小于等于3的多项式P(x),使其满足条件:''(0)0,(0)1,(1)1,(1)2pPPp解:设P(x)=32axbxcxd'2()32Pxaxbxc则代入已知条件,得到:011322dcabcdabc解得a=1,b=-1,c=1,d=0所以P(x)=32xxx16.求一个次数不高于4次的多项式P(x),使它满足:''(0)(0)0,(1)(1)1,(2)1ppppp解:由p(0)=0,p(1)=1,p(2)=1,我们可以得出22(1)(2)()(2)()(1)13()011(1)(2)(10)(12)(2)(21)22xxxxxxPxxx从而242()()(1)(2)(1)(2)PxPxaxxxbxxxa,b都为待定系数'3343()43(3)(461)22Pxbxabxbaxa将代入到上式中,得出''(0)0,(1)1pp31,44ab从而有4324139()424Pxxxx

1、当您付费下载文档后,您只拥有了使用权限,并不意味着购买了版权,文档只能用于自身使用,不得用于其他商业用途(如 [转卖]进行直接盈利或[编辑后售卖]进行间接盈利)。
2、本站所有内容均由合作方或网友上传,本站不对文档的完整性、权威性及其观点立场正确性做任何保证或承诺!文档内容仅供研究参考,付费前请自行鉴别。
3、如文档内容存在违规,或者侵犯商业秘密、侵犯著作权等,请点击“违规举报”。

碎片内容

数值分析计算方法_第二章作业

书海行舟+ 关注
实名认证
内容提供者

热爱教学事业,对互联网知识分享很感兴趣

确认删除?
VIP
微信客服
  • 扫码咨询
会员Q群
  • 会员专属群点击这里加入QQ群
客服邮箱
回到顶部